Сторінка
1
ПЛАН
1. Вступ до кейнсіанської теорії сукупного попиту.
1.1. Кейнсіанська функція споживання.
1.2. Інвестиційна функція.
1.3. Державні закупки та податки.
1.4. Рівновага на товарних і фінансових ринках. Рівноважна процентна ставка.
2. Рівновага сукупного попиту і сукупної пропозиції. Фактичні та планові витрати. "Кейнсіанський хрест ".
3. Коливання рівноважного обсягу випуску навколо потенційного рівня. Мультиплікатор автономних витрат. Рецесійний та інфляційний розриви.
1. Вступ до кейнсіанської теорії сукупного попиту
Відомо, що в закритій економіці існує три напрями використання вироблених нею продуктів. Ці три компоненти ВВП наведені в основній макро-економічній тотожності для закритої економіки:
Y-C+I+G,
тобто частина виробленої продукції споживається домогосподарствами (С), частина - використовується фірмами й домогосподарствами на інвестиції (/) і, нарешті, частина виробленої продукції закуповується урядом для використання на суспільні потреби (G).
1.1. Кейнсіанська функція споживання
Переважна частина (приблизно 2/3) виробленої продукції йде на споживання (С). Пригадаємо, що та частина доходу, яка залишилася після сплати всіх податків (Y-T), називається використовуваним доходом. Люди поділяють свій використовуваний доход на споживання (С) та заощадження (S) , тобто
Заощадження — це частина використовуваного доходу, яка не споживається.
Залежність між обсягом споживання і використовуваним доходом має назву функції споживання:
C=C(Y-T).
Це поняття, запроваджене Кейнсом, ґрунтується на припущенні, що доход є основним, визначальним фактором споживання, а процентна ставка не відіграє в цьому значної ролі.
Детальніше функцію споживання Дж.Кейнса можна показати у вигляді:
де: а —
автономне споживання, тобто обсяг споживання, який не залежить від використовуваного доходу (наприклад, проживання в борг, за рахунок заощаджень, субсидій. У довгостроковому періоді для економіки в цілому автономне споживання має тенденцію наближатися до нуля); b — гранична схильність до споживання (МРС) — це величина, яка показує, наскільки зміниться обсяг споживання при зміні використовуваного доходу на одну одиницю, і визначається за формулою:
де: .
— приріст споживчих витрат;
— приріст використовуваного доходу.
набуває значення в інтервалі від 0 до 1, тобто одна додаткова одиниця використовуваного доходу збільшує обсяг споживання, але на величину меншу від 1. Це пояснюється тим, що кожна гривня доходу, яка не споживається, — заощаджується. І кожна гривня додаткового доходу витрачається або на додаткове споживання, або на додаткове заощадження. З геометричної точки зору гранична схильність до споживання (МРС) — це кут нахилу кривої споживання (мал. 5.1).
Існує поняття середньої схильності до споживання (АРС) — це відношення
обсягу споживання до величини використовуваного доходу:
|
|
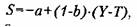
Найпростіша функція заощадження має вигляд:
де
3' - величина заощаджень у приватному секторі; а - автономне споживання; (1-Ь) — гранична схильність до заощадження; F - доход; Т - податкові відрахування.
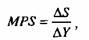
Гранична схильність до за-ощадрсення (MPS) - величина додаткового заощадження, яке виникає із додаткової гривні використовуваного доходу:
де
приріст заощаджень;
— приріст використовуваного доходу. Оскільки частина кожної гривні, яка не споживається, обов'язково заощаджується, то гранична схильність до споживання і гранична схильність до
заощадження в сумі дорівнюють одиниці:
Середня схильність до заощадження (APS) - це частина використовуваного доходу, яку домогосподарства заощаджують, тобто
У короткостроковій перспективі із збільшенням доходу зростає частка споживання так званих "люксових благ", серед яких найбільшим "люксовим благом" є заощадження (про це стверджують закони, або "якісні схеми поведінки", Ернста Енґеля), а тому середня схильність до споживання має тенденцію до зменшення, а середня схильність до заощадження зростає. Проте в довгостроковій перспективі середня схильність до споживання стабілізується.
На відміну від Дж.Кейнса, сучасні дослідники показали, що споживання — функція не лише від поточного використовуваного доходу (хоча цей фактор і є основним!). На його обсяги впливають також рівень нагромадженого багатства, процентна ставка, розвинена система соціального захисту (яка спричиняє зменшення особистих заощаджень), раціональні очікування споживачів тощо.
Інші реферати на тему «Макроекономіка»:
Бюджетна система. Дефіцит державного бюджету, причини виникнення та економічні наслідки
Вступ до макроекономіки
Антимонопольної політики в регульованій ринковій економіці
Методологія, принципи та завдання прогнозування й макроекономічного планування
Показники ефективності суспільного виробництва та методика їх визначення
