Сторінка
5
де
— мультиплікатор автономних витрат;
— зміна рівноважного ВВП;
- зміна автономних витрат, незалежних від динаміки Y.
Мультиплікатор витрат показує, у скільки разів загальний приріст (скорочення) сукупного доходу
перевищує початковий приріст (скорочення) автономних витрат
Важливим є те, що одноразова зміна будь-якого компонента автономних витрат породжує багаторазову зміну ВВП. Якщо, наприклад, автономне
споживання зростає на якусь величину
то це призводить до збільшення сукупних витрат і доходу Y на таку ж величину, що, в свою чергу, викликає повторне зростання споживання (оскільки збільшився доход), але вже на величину
Далі сукупні витрати і доход знову зростають на величи ну
потім знову, за схемою кругообігу "доходи — витрати".
Отже, мультиплікатор витрат можна показати через граничну схильність до споживання як:
Оскільки гранична схильність до заощадження MPS=1-MPC, отримуємо:
Якщо ж планові витрати будуть враховувати вплив прибуткових податків (тобто T=tY), мультиплікатор витрат визначатиметься за такою формулою:
де t — гранична ставка оподаткування.
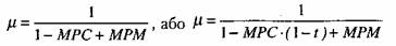
Ці формули дають змогу визначити мультиплікатор витрат у закритій економіці. Але відкрита економіка, яка продає за кордон та купує за кордоном, перебуває під впливом змін у чистому експорті, які також призводять до зміни кута нахилу лінії планових витрат. Ці зміни пов'язані з граничною схильністю до імпортування (МРМ) — величиною, яка показує, на скільки одиниць зміняться імпортні витрати
при зміні доходу
на одну одиницю:
Тому мультиплікатор витрат у відкритій економіці має такий вигляд:
Розглянемо тепер на конкретних прикладах, як змінюється доход У під впливом екзогенних змінних бюджетно-податкової політики (державних витрат та податкових надходжень), використавши для цього модель кейнсіанського хреста.
Приклад 1. Припустімо, що державні витрати зростають на величину AG. Крива планових витрат при цьому пересунеться вгору на AG (мал. 5.6). Рівновага в економіці переміститься із точки А в точку В.
Цей графік наочно демонструє, що зростання державних витрат призводить до більшого зростання доходу у порівнянні з попереднім імпульсом,
|
|
тобто
' є більшим у порівнянні з
Співвідношення
нази вається мультиплікатором дер жавних витрат; воно показує, у скільки разів зростає доход при збільшенні державних витрат на одну одиницю. Із моделі кейн- сіанського хреста чітко видно, що мультиплікатор державних витрат — величина, більша за одиницю.
Чому бюджетно-податкова політика створює мультиплікативний ефект на доход? Причина полягає в тому, що, у відповідності із функцією споживання, вищий рівень доходу призводить до вищого рівня споживання. Оскільки зростання державних витрат збільшує доход, це також збільшує рівень споживання, що, в свою чергу, сприяє подальшому зростанню доходу і, відповідно, подальшому збільшенню рівня споживання, і т.д. Ось чому в даній моделі зростання державних витрат призводить до більшого зростання доходу.
Наскільки великим є мультиплікатор державних витрат? Щоб дати відповідь на це запитання, поступово прослідкуємо за тим, як змінюється доход. Процес розпочинається тоді, коли державні витрати зростають на величину
а це означає, що доход також зростає на
Таке збільшення доходу призводить, у свою чергу, до зростання споживання на величину
— гранична схильність до споживання. Коли зросло спо живання, це знову сприяє збільшенню витрат і доходу. Друге збільшення доходу на
викликає зростання споживання цього разу на величину
що, в свою чергу, збільшує витрати і доход, і т.д. Оскільки ланцюжок переходу від споживання до доходу і знову до споживання є безперервним, то:
Інші реферати на тему «Макроекономіка»:
Макроекономічна нестабільність: цикли ділової активності, безробіття, інфляція
Бюджетна система. Дефіцит державного бюджету, причини виникнення та економічні наслідки
Сукупна пропозиція. Цінові та нецінові фактори сукупної пропозиції. Механізм функціонування ринку праці
Організація прогнозування та планування
Стратегічні підходи при встановленні ціни на новий товар
