Сторінка
1
Види гірничо-планувальних робіт
Залежно від напряму рекультивації порушених земель, розрізняють три види планування поверхні суцільне, терасове і часткове.
ü Суцільне планування - це вирівнювання поверхні порушених земель з ухилами, допустимими дія застосування ґрунтообробної техніки
ü Терасування використовується переважно у випадку відведення порушених земель під заліснення
ü Часткове планування - це вирівнювання поверхні порушених земель Із збереженням характерних особливостей рельєфу Під час такого планування на гребенеподібних відвалах зрізуються тільки вершини гребенів і створюються площі шириною не менше 4 м При цьому зникає хвилеподібна поверхня
Планування поверхні проводиться двома етапами - першочергове - грубе, а за ним - чистове. Грубе шанування передбачає попереднє вирівнювання поверхні з виконанням основного об'єму земельних робіт Для забезпечення рівномірного осідання відвалу грубе планування рекомендується проводити у процесі розкривних робіт або зразу ж за відсипкою відвалу. Чистове планування передбачає кінцеве вирівнювання поверхні, яке зводиться до вирівнювання мікрорельєфу переміщення незначних об'ємів розкривних порід
Необхідність проведення чистовою планування виникає, як правило, після осідання порід, в результаті чого поверхня відвалу значно деформується Переважно чистове планування проводиться через 1-2 роки після відсипки відвалу (перед нанесенням на відвал родючого шару ґрунту, потенційно родючих порід або перед проведенням лісопосадкових робіт)
Вимоги до гірничого планування поверхні
Основним завданням танувальних робіт переважно є приведення техногенного рельєфу у стан, придатний для подальшого використання порушених земель за цільовим призначенням. Наприклад, у випадку сільськогосподарського напряму рекультивації поверхня повинна бути рівною, з невеликим одностороннім або двостороннім ухилом для стікання надлишкових атмосферних опадів. Ухили поверхні не повинні перевищувати у разі підготовки відвалу під ріллю - 2 градусів; луки і пасовища - 2-4 градуси; сади і виноградники - 5 градусів. У випадку лісогосподарського напряму рекультивації планування поверхні відвалу повинно виконуватись відповідно до чинних рекомендацій щодо проведення вишукувань і проектування лісових насаджень на рекультивованих землях.
За необхідності відкоси відвалів терасують. Ширина терас зі зворотним ухилом до 2° повинна забезпечувати можливість посадки не менше двох рядів лісових культур і включати технологічний інтервал для механізованого обслуговування. Максимальна різниця позначок між терасами встановлюється залежно від фізико-хімічних властивостей відвальних порід і від асортименту висаджених лісових культур (за змиканням дорослих дерев) і дорівнює 5-7 м; кут відкосу підвиступів не повинен перевищувати природного кута відкосу відвалу; забезпечуються в'їзди на тераси.
Під час проектування відвалів рекомендується приймати такі максимальні значення результуючого кута відкосу.
У процесі рекультивації старих відвалів необхідно враховувати, що під час гірничо-планувальних робіт можливе оголення малопридатних і непридатних порід, а також знищення кореневмісного шару, який сформувався у процесі природного заростання. Тому перед плануванням таких відвалів рекомендується проводити грунтово-агрохімічне і геоботанічне обстеження. Необхідно передбачити заходи, які максимально виключають переущільнення поверхневого шару відвалів (уникати застосування на плануванні важких машин, проведення планувальних робіт у найбільш сухі періоди року).
Технологія вирівнювання поверхні гідровідвалу
Розробка родовищ корисних копалин за допомогою гідромеханізації вважається одним із прогресивних способів. На відміну від насипних відвалів, гідровідвал має рівну поверхню з незначним ухилом до відстійника. Відкоси І ідровідвалу порівняно пологі (від 1:3 до 1:5). Схема гідровідвалу показана на рис. 3.14.
Рис. 3.14. Схема гідровідвалу
а - в робочому стані;
б - після виконання гірничотехнічної рекультивації;
1 - дамба; 2 - глинистий пісок; 3 - вода; 4 - суглинки і глини;
5 - ґрунтовий шар; 6 потенційно родючі породи.
Незважаючи на плоскість гідровідвалів, їх поверхню необхідно вирівнювати, оскільки в центрі може скупчуватись вода та утворюватись болото. Уникнути цього можна за рахунок заповнення відстійника породою до рівня поверхні води у водоймищі.
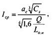
Для визначення об'єму робіт щодо вирівнювання поверхні гідровідвалу необхідно знати ухил відкосу намиву і довжину шляху осідання частин. Ці величини можна визначити інструментальними замірами в натурі. Проте частіше ці величини необхідно знати ще до закінчення експлуатації гідровідвалу. В такому випадку їх можна визначити розрахунковим методом, користуючись формулою:
де ас - коефіцієнт, який залежить від складу породи (для дрібно- і середньозернистих пісків aс=3:3,5 для різнозернистих і грубозернистих пісків ас=4,5:5);
Q - витрати пульпи, що подається у гідровідвали, л/с;
Loн - довжина відкосу намиву, м;
Cs - вагова консистенція пульпи на випуску, %.
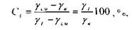
де γ1 і γ2 - щільність твердої фази розкривної породи І пульпи відповідно, г/см3;
γв - густина води, г/см3.
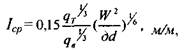
Наприклад, якщо крупність розкривних порід, не перевищує 1,5 мм, то ухил порід, що складуються у гідровідвал на його надводній частині, визначається за формулою:
де qT- витрати твердих агрегатів, м3/с;
qe - витрати води на їм фронту намиву, м3/с;
W'- гідравлічна крупність, см/с.
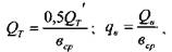
Формула 3.56 дозволяє наближено вирахувати середній ухил при намиві. У випадку випуску пульпи з торця пульпопроводу і наявності розтікання пульпи у плані середній ухил відкосу намиву довжиною 200-300м визначають за формулою 3.56 з урахуванням qт і qв формул:
де 0,5-коефіцієнт, який враховує осідання породи із потоку пульпи по довжині відкосу;
Qв і Qт- відповідно витрати води і твердих агрегатів на випуску із пульпопровода, м3/с;
Інші реферати на тему «Географія фізична, геологія, геодезія»:
Геологія як наука і її місце як наука про Землю. Форми рельєфу створені тимчасовим русловим стоком. Стадії їх розвитку. Складання картосхеми густоти горизонталь, розчленування територій
Землезнавство
Орографія та розвиток пост-гляціальних процесів південно-західної Канади та східної Європи
Географія Литви
Вимірювання сторін в полігонометричних ходах
