Сторінка
2
вср = 63 - середня ширина потоку пульпи на відвалі, м.
Для орієнтовного визначення ухилу намивної поверхні, якщо вагова консистенція пульпи не менша 10 %; І.Я. Русинов запропонував такі формули:
- для дрібнозернистих однорідних пісків:
c=0,029lnkв-0,005,
- для грубозернистих різнорідних пісків:
i=0,034lпкв-0,019,
де kв=qs/qc; qs - витрати твердих агрегатів, кг;
qc - витрати води, л/с.
Орієнтовні значення ухилів для випадку вільного потоку пульпи на відвалі у разі витрат від 300 до 1200м3/с наведені в таблиці 1.
Довжина шляху, на якому виходять частини породи даної питомої маси І розміру, відповідно до умов гірничих розробок визначається за формулами Д.Я. Соколова:
де Lmax - шлях осідання найдрібніших фракцій, м;
Wmax і Wmin - відповідно максимальна і мінімальна гідравлічна грубість фракцій, см/с;
Lmin - шлях осідання найгрубших фракцій, м;
ν - середня поступальна швидкість потоку на заданій глибині, м/с;
Нвід - глибина відстою, м.
Для визначення довжини шляху осідання частин у роботі рекомендується формула:
де ν1 і ν2 - швидкість течи відповідно на початку і кінці відвалу, м/с;
W2 - вертикальна швидкість частин, м/с.
Об'єм порід для вирівнювання поверхні гідровідвалу визначають за формулою:
де Lпл- довжина підтопленого пляжу, м;
і - ухил підтопленого пляжу, градуси;
S1 і S2 - відповідно площа підтопленого пляжу і горизонтального дна відстійника, га.
Вирівнювання поверхні гідровідвалу можна виконувати таким способом. Після закінчення експлуатації гідровідвалу вода з нього повинна бути відведена (відпомпована насосами або спущена через шандрову криницю). У зимовий час після промерзання гідровідвалу на глибину 0,15-0,5 м на нього завозиться автосамоскидами порода (бажано потенційно родюча). Замерзлі породи полегшують утримання автодоріг у районі гідровідвалу і дозволяють без труднощів відсипати бульдозером відвал. Оскільки об'єм породи для вирівнювання гідровідвалу може досягти значних розмірів, а відстань транспортування породи може бути також більшою, то для зменшення загальних затрат на вирівнювання поверхні гідровідвалу доцільно центральну частину гідровідвалу наприкінці експлуатації заповнити торфовим намивом. Відкоси гідровідвалу піддаються тільки на окремих ділянках незначними плануванням бульдозером. Можливий і другий спосіб відновлення гідровідвалу. Так, після закінчення експлуатації гідровідвалу його відстійник перетворюють в озеро, організовуючи підпомповування свіжої проточної води. Навколо озера садять декоративні дерева, після чого на гідровідвалі можна створити зону відпочинку.
Механізація гірничо-планувальних робіт
Для планування відвалів застосовуються різноманітні землерийні машини: екскаватори (драглайни і мехлопати), бульдозери, скрепери, автогрейдери та ін. їх вибирають залежно від рельєфу поверхні відвалу і від виду планування. Наприклад, для планування гребенеподібних відвалів, які відсипані за безтранспортною, транспортно-відвальною і транспортною (зі стрічковими конвеєрами і консульними відвалоутворювачами) системах розробки корисних копалин, рекомендується такий набір обладнання.
У грубому плануванні:
q якщо відстань між гребенями до 40 м - бульдозери Д-572;
q якщо відстань 40-60м - екскаватори ЕШ-5/45М і бульдозери Д-572;
q якщо відстань понад 60 м - екскаватори ЕШ-10/60, ЕШ-10/70 і бульдозери Д-572;
У чистовому плануванні:
· бульдозери Д-572.
У виположуванні відкосів відвалів - екскаватори ЕШ-5/45м, ЕШ-10/60, ЕШ-10/70; у терасуванні - ЕКІ-4, 6Б, Кг-81.
Для планування відвалів, відсипаних за транспортною системою розробок, а також гідровідвалів, де обсяги земельних робіт незначні, використовують скрепери, бульдозери, автогрейдери.
Скрепери використовують у плануванні сухих відвалів, які складені з м'яких порід і не потребують попереднього розпушування. На планувальних роботах з великим обсягом земельних робіт під час переміщення скельних і напівскельних порід на відстані до 40-60 м рекомендується використовувати потужні бульдозери.
Автогрейдери використовують у чистовому плануванні поверхні за висоти гребенів до 0,8-1,0 м і відсутності в розрізнювальних шарах твердих включень.
Визначення об'єму гірничо-планувальних робіт
Об'єм гірничо-планувальних робіт складається з об'єму профільної виїмки, який залежить від рельєфу відводу і виду планування поверхні (суцільної чи чистової), та об'єму переекскавації порід, обумовлених прийнятою технологічною схемою і засобами механізації.
У плануванні платоподібних (плоских) відвалів і гідровідвалів бульдозерами об'єм земельних робіт незначний і становить 0,01-0,05м3/м2.
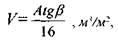
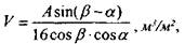
У плануванні гребенеподібних відвалів, відсипаних за безтранспортною, транспортно-відвальною або транспортною (з консольними відвалоутворювачами) системами розробки, питомий об'єм профільної виїмки визначається:
а) у суцільному плануванні і створенні плоскої поверхні за схемою, яка наведена на рис.3.15.
Рис. 3.15. Розрахункові схеми для визначення об'єму земляних робіт
у плануванні гребенеподібних відвалів і створення поверхні:
а) плоскої; б) хвилястоподібної; в) з горизонтальними
де V - питомий об'єм земельних робіт, м3/м2;
А - відстань між гребенями відвалу (відповідає ширині західки екскаватора), м;
β - кут природного відкосу відводу, градуси.
б) у суцільному плануванні та створенні хвилястої поверхні відвалу:
де α - заданий кут нахилу поверхні, градуси.
в) у чистовому плануванні і створенні горизонтальних площ:
Інші реферати на тему «Географія фізична, геологія, геодезія»:
Мінерали, розвиток геоморфологічної науки, вітровали
Фізико-географічна характеристика річкових басейнів
Гранулометричний склад грунтів
Роль Геоінформаційних систем (ГІС) у системах екологічного моніторингу
Енергетичний потенціал відновлюваних та нетрадиційних джерел енергії України: енергія вітру, сонячна енергія ,енергія малих рік, енергія біомаси
