Сторінка
1
Завдання:
1.Ознайомити учнів з формуванням правильної постави.
2.Повторити ловіння та передачі баскетбольного м'яча двома руками, діям гравців у захисті.
3.Розвиток швидкісно-силових якостей засобами рухливих ігор та естафет. Місце проведення: спортивний зал, ігрові майданчики та інші придатні місця.
Інвентар та обладнання: баскетбольні м'ячі, свисток, крейда, прапорці, навчальні картки, ТЗН.
| 1 | 2 | 3 | 4 | 5 | |
| Підготовча частина уроку. Тривалість до 15 хвилин |
1 . Організований перехід до місць занять. |
до 60 с |
Перехід у колону по одному. Дистанція до 0,5 м. | ||
|
2. Шикування. Повідомлення завдань на урок. |
Шикування біля лінії. Завдання на урок повідомити, поярнити. Перевірити готовність учнів до уроку. | ||||
|
3. Ознайомити учнів з формуванням правильної постави. |
до 2хв |
Розповісти, пояснити. | |||
|
4. Повторити шикування в шеренгу, колону, розмикання на інтервал піднятих рук. 4.1. Повторити шикування в шеренгу 4.2. Повторити шикування в колону. 4.3. Повторити розмикання на інтервал піднятих рук. |
до 2 хв |
Фронтальний метод організації діяльності учнів. Виконувати за командами. Виправляти помилки: підказкою, зауваженням, порадою, повторним поясненням, повторним виконанням. | |||
|
5. Навчити різновидам ходьби: - похідним кроком; - з високим підніманням колін; - перекатом з п'ятки на носок; - у напівприсяді з опорою руками у коліна; - похідним кроком. |
до 20м до 20м до 30 м до 20м до 30м |
Потоковий метод організації діяльності учнів. Виконувати за командами. Виправляти помилки: підказкою, порадою, зауваженням. Формувати правильне склепіння ступнів. | |||
|
6. Навчити різновидам бігу: - з різними положеннями рук (на пояс, у сторони, вгору); - по двох-трьох, тримаючись за руки; - із зупинкою за сигналом; - з прискоренням; - повільний біг з переходом на ходьбу. | до 20 м до 20м до 20м до 20м до 20м |
Потоковий метод організації діяльності учнів. Виконувати за командами. Виправляти помилки: вказівкою, порадою, зауваженням, повторним поясненням. Формувати правильні дихальні цикли під час бігу. | |||
|
7. Перешикування у шеренгу по чотири. |
до 45 с |
Виконувати за командами. | |||
|
8. Повторити комплекс загальнорозвивальних вправ на місці №2. |
до4хв |
Груповий метод організації діяльності учнів. Розповісти, пояснити, показати. Виконувати за командами. Виправляти помилки: вказівкою, порадою, розпорядженням, повторним поясненням, повторним виконанням. | |||
|
Основна частина уроку. Тривалість до 25 хвилин |
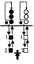
1. Повторити ловіння та передачі баскетбольного м’яча 2-ма руками. а) Під час передачі баскетбольного м’яча двома руками приймаємо таку стійку: ноги згинаєм в колінах, м’яч тримаєм двома руками, великі пальці направлені один до одного, а інші вперед. Лікті рук притискаємо до себе, тоді руки виправляєм вперед, і робимо кидок, не розводячи при цьому лікті. Під час передачі баскетбольного м’яча в русі ноги трохи зігнуті, тулуб нахилений, руки тримати зігнутими, готовими ловити м’яч. Очима треба стежити за пересуванням м’яча та гравців. б) Показ вчителя. в) Виконання учнями.
Естафета “Швидко передай”
Клас ділять на 2-3 команди, що шикуються в колони. Кожна команда має по два капітани, які стоять спереду на відстані 3 м від колон. Естафету розпочинає перший учасник у команді. Він виконує передачу м'яча двома руками від грудей до капітана № 1, а сам стає замикаючим. Капітан №1 виконує поворот на одній нозі і передає м'яч капітану № 2, капітан № 2 — капітану № 1, капітан № 1 — другому учаснику своєї команди. Естафета триває до тих пір, поки вісі гравці не закінчать передачу м'яча. Виграє та команда, що швидше закінчить передачу м'яча. |
до 10 хв |
Груповий метод організації діяльності учнів. Розповісти, пояснити, показати. Виконувати за командами. Виправляти помилки: вказівкою, порадою, розпорядженням, повторним поясненням, повторним виконанням. |
1 2
Інші реферати на тему «Фізкультура, туризм»:
Аналіз техніки і методики навчання з бігу на 100 м
День Збройних Сил України – спортивне свято
Структура та рівень фізичної підготовки студентів–першокурсників та шляхи оптимізації процесу фізичного виховання у вищих навчальних закладах
Фізична культура в режимі праці та відпочинку студентів
Олімпійські ігри після Другої світової війни
