Сторінка
1
Оптимальність економічного зростання полягає у знаходженні деякого співвідношення між динамікою темпів економічного зростання та джерел зростання. Цільова функція повинна максимізувати інтереси суспільства. Різноманітність поглядів та теорій викликана вибором критеріїв оптимальності економічного зростання.
Найвідомішими з моделей є: неокласична модель Роберта Солоу та дві кейнсіанські моделі Роя Харода і Євсея Домара.
Модель Солоу вперше описана у праці Роберта Солоу "Внесок до теорії економічного зростання" в 1956 р. За розробку теорії економічного зростання Р. Солоу в 1987 р. присуджено Нобелівську премію.
Це складна теоретична модель, над розробкою якої автор працював десятиліття. Модель показує, як заощадження, зміна чисельності населення і технологічний прогрес впливають на економічне зростання і як досягти високих і стабільних темпів зростання. Основні положення моделі.
1. Враховується вплив трьох чинників: запасу капіталу, зростання населення та технологічного прогресу.
2. Визначаються чинники зростання, які мають короткостроковий вплив (запас капіталу та зростання чисельності населення) і довгостроковий (технологічний прогрес).
3. Визначальну роль відіграють заощадження.
4. Кінцевим результатом є зростання продуктивності праці: у= ΥІL, а не зростання продукту Υ, де Υ— обсяг випуску, L — кількість праці, у — продуктивність праці.
5. Заощадження дорівнюють інвестиціям: 8 = 1. Макроекономічна рівновага досягається за умови Ak = sf(k) - Gk. Необхідною умовою рівноваги економічної системи є рівність сукупного попиту і пропозиції.
Пропозиція валового продукту в моделі Солоу виражається виробничою функцією Υ = F(K,L).
Запишемо функцію у вигляді взаємозв'язку між рівнем продуктивності праці і капіталоозброєності:
де у — рівень продуктивності праці, k — рівень капіталоозброєності праці (рис. 11.3).
Рис 113 Виробнича функція виду у =f(k)
Тангенс кута нахилу даної виробничої функції відповідає граничному продукту капіталу МРК (Marginal product of capital), який спадає із зростанням капіталоозброєності.
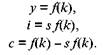
Попит задається через характеристики споживання (с) та інвестицій (і) в розрахунку на одиницю праці. Продукція, яка виробляється кожним працівником у, являтиме собою споживчі блага та інвестиції в розрахунку на одного працівника:
Оскільки споживання пропорційне доходу і залежить від норми заощаджень (s), то с = (1 - s) у, отримаємо у = (1- s) у + і, звідки і = = sy = sf(k).
В умовах рівноваги інвестиції дорівнюють заощадженням і є пропорційними доходу. Після перетворень одержуємо сукупність рівнянь, які виражають дохід, споживання, інвестиції в розрахунку на одного працівника, як функцію від капіталоозброєності праці:
Запас капіталу залежить від обсягу інвестицій та вибуття капіталу (рівня його амортизації), їх співвідношення, а це фактично чисті інвестиції, і визначає зростання капіталу. Залежність капіталу від інвестицій та амортизації зображено відповідно на рис. 11.4 та 11.5. Чим більша величина капіталоозброєності праці, тим більший обсяг виробництва і, відповідно, вищий розмір інвестицій.
Виробнича функція є нелінійною і характеризується спадною граничною продуктивністю праці, тобто при зростанні показника k графік виробничої функції стає більш спадистим, оскільки кожна така одиниця капіталу виробляє менше продукту порівняно з попередньою.
Заведено, що норма заощаджень s є постійною і заощадження дорівнюють інвестиціям. Отже, норма заощаджень визначає розподіл продукту на споживання та інвестиції. Як відомо, валові інвестиції супроводжуються вибуттям капіталу. Припустімо, щорічно вибуває σ&, де σ — норма амортизації.
Чим більший запас існуючого капіталу, тим більшим буде його зношування. Тому функція вибуття є лінійною.
При стійкому рівні капіталоозброєності праці k* досягається рівність між величиною інвестицій та амортизації (вибуття капіталу) (рис. 11.6).
Стійкий рівень капіталоозброєності — це стан рівноваги, який, за моделлю Солоу, визначає економічну динаміку. Тобто при будь-якому рівні капіталоозброєності економіка прямує до точки рівноваги k*.
Співвідношення між інвестиціями (валовими) та амортизацією є показником стану економіки країни (рис. 11.7).
Точка k\ означає, що капіталу інвестується більше, ніж виробляється. Рівень інвестицій перевищує рівень вибуття капіталу. Тобто в економіці нарощуються запаси капіталу. За рік споживається менше капіталу, ніж виробляється, економіка є зростаючою. Точка k* означає стійкий стан, або рівність між рівнем інвестицій та рівнем вибуття капіталу. Економіка є статичною, або застійною. Точка А:2 означає, що капіталу інвестується менше, ніж виробляється. Рівень вибуття капіталу перевищує рівень інвестицій, тобто в економіці зменшуються запаси капіталу. За рік споживається більше капіталу, ніж виробляється, економіка є спадною (стагнаційною).
Інші реферати на тему «Макроекономіка»:
Характеристика макроекономічних показників плану та порядок їх обчислення
Поняття трудових ресурсів та праці. зведений баланс трудових ресурсів, його зміст, призначення. основні показники та їх обчислення. баланс ринку праці
Міжнародні економічні організації
Організація прогнозування та планування
Ефект акселератора в механізмі циклічного коливання. Вплив акселератора на нестабільність економіки
