Сторінка
2
Отже, збільшення капіталоозброєності є чинником економічного зростання лише за умови, що капіталоозброєність праці не досягла стійкого стану, тобто k < k*. На графіку це всі точки ліворуч від k*. Визначимо цей стійкий рівень.
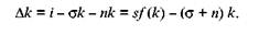
Вхідними параметрами є: виробнича функція, норма заощаджень та норма вибуття капіталу. Знайдемо приріст Ak, тобто ті умови, за яких інвестиції перевищують вибуття (амортизацію) капіталу:
Оскільки в точці k* приросту капіталу немає, то Ak = 0.
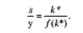
Звідси sf(k*) - Gk* = О, або sf(k*) = σ&*.
Поділивши обидві частини рівняння на σ/(k*), одержимо
За останнім рівнянням норма заощаджень є незмінним показником статичної економіки, або економічного зростання зі стійким рівнем капіталоозброєності.
За інших рівних умов при зростанні норми заощаджень економіка матиме більше інвестицій, більший запас капіталу та, відповідно, більший рівень виробництва (рис. 11.8).
У разі потреби державна політика може вплинути на рівень k*, діючи на норму заощадження або на норму амортизаційних відрахувань.
Після зсуву функції інвестицій вгору формується новий стійкий стан капіталоозброєності А:2*. Точці попереднього стійкого стану k* за нових умов відповідає ситуація, коли інвестиції перевищують амортизацію (г'2 > σ). Запаси капіталу зростатимуть, поки економіка не досягне нового стійкого стану капіталоозброєності.
Отже, збільшення норми заощаджень є джерелом економічного зростання.
Модель Солоу показує, що більшому обсягу інвестицій, а отже, і вищій нормі заощаджень у національному доході відповідає найбільший дохід на душу населення. Цей висновок підтверджують статистичні дані більшості країн. Однак збільшення норми заощаджень супроводжується скороченням норми споживання. Як вирішити цю суперечність? Як досягти максимального рівня споживання при заданих темпах економічного зростання? Умову, при якій досягається максимальний рівень, американський економіст Е. Фелпс назвав "золотим правилом" нагромадження.
"Золоте правило". Критерієм при виборі норми заощаджень є максимізація добробуту суспільства, тобто якнайбільше споживання. Відповідно до "золотого правила" норма заощаджень, за якої формується стійка капіталоозброєність, повинна враховувати максимум споживання.
У моделі Солоу доведено, що збільшення чисельності населення позначається на капіталоозброєності так само, як і норма вибуття. Інвестиції збільшують запас капіталу і капіталоозброєність праці, а зношування капіталу і зростання кількості працюючих її зменшують. Справді, із зростанням L знижується і рівень капіталоозброєності (k = КІL), і випуск на одного працівника (y=f(k)= ΥІ L).
Якщо в модель Солоу ввести показник темпу зростання, то рівень інвестицій, необхідний для компенсації вибуття капіталу і збільшення чисельності населення, повинен дорівнювати (σ + η) k. Попередній обсяг капіталу повинен бути розподілений між збільшеною кількістю працівників.
Уведемо η — приріст населення — і розглянемо рівняння
Показник (σ + η) k називають критичною величиною інвестицій, яка показує, наскільки необхідно збільшити величину капіталу, щоб його запас, який припадає на одного працюючого з урахуванням вибуття капіталу та зростання кількості працюючих, залишився незмінним. З урахуванням чинника збільшення чисельності населення графік набуває такого вигляду (рис. 11.9).
Рис 119 Вплив збільшення чисельності населення на економічне зростання
Зростання кількості населення неоднозначно впливає на економічне зростання.
За стійкого стану економіки випуск продукції у на одного працівника залишається незмінним, оскільки незмінною є капіталоозброє-ність праці k*. Однак загальний продукт може зростати за рахунок збільшення кількості працівників.
Проте збільшення чисельності населення може викликати зменшення і капіталоозброєності k*, і, відповідно, продуктивності, якщо воно не компенсується зростанням інвестицій (рис. 11.10).
На графіку дві прямі відображають збільшення чисельності населення та вибуття (амортизацію) капіталу.
Прискорення зростання населення відображається зсувом прямої (σ + η) k ліворуч. Наслідком прискореного зростання населення є зменшення капіталоозброєності.
Цю частину моделі використовують як аргумент для пояснення того, чому в країнах із високим щорічним темпом приросту населення низькими є продуктивність праці та випуск продукції на душу населення. Високий темп приросту населення стає гальмом економічного зростання у тому випадку, коли збільшення інвестицій не може його компенсувати.
Третє джерело економічного зростання — технологічний прогрес.
Припускається, що співвідношення витрат праці та капіталу, з одного боку, та випуск продукту — з іншого, залишаються незмінними. З урахуванням дії технічного прогресу, високих технологій на економічне зростання виробнича функція набуває такого вигляду:
Інші реферати на тему «Макроекономіка»:
Зайнятість та безробіття; їх аналіз
Макроекономічна нестабільність: цикли ділової активності, безробіття, інфляція
Оцінка екологічної ситуації в Україні
Ефект акселератора в механізмі циклічного коливання. Вплив акселератора на нестабільність економіки
Ринок праці. Регулювання зайнятості та соціальних проблем
