Сторінка
1
Сучасна система управління витратами користується широким інструментарієм засобів адміністрування абсолютного значення накладних витрат, їх деталізації, визначення очікуваних тенденцій, контролю та оптимізації, але оцінка нормального (або максимально можливого) рівня таких витрат в окремих умовах складає, на думку автора, актуальну методичну проблему.
Основними сучасними принципами керування накладними витратами є забезпечення ефективності використання активів підприємства, контроль за динамікою накладних витрат порівняно з минулими періодами з урахуванням застосованих менеджерських заходів і подій в рамках виробничо-господарської діяльності, та, за можливістю, порівняння з аналогічними підприємствами з урахуванням специфічних особливостей. Але оперативна оцінка максимально можливого рівня накладних витрат підприємств на підставі відомостей про поточний стан виробничо-господарської діяльності представлятиме, на думку автора, теоретичний і практичний інтерес.
В якості вихідних даних для поставленої задачі встановлено наступні умови:
1) визначення максимально можливого рівня накладних витрат не повинно орієнтуватися на структуру калькуляції в зв'язку з тим, що співвідношення статей витрат підприємств різних галузей відрізнятимуться з об'єктивних причин;
2) підхід має забезпечувати можливість оперативної оцінки рівня накладних витрат підприємств виходячи з техніко-економічних показників виробничо-господарської діяльності;
3) оскільки аналіз накладних витрат в рамках собівартості окремих видів продукції є певним відображенням обраного методу розподілу накладних витрат, визначення доцільного рівня таких витрат має проводитися в рамках усього підприємства як одиниці промислових об'єктів галузі.
Для оцінки рівня накладних витрат при показниках виробничо-господарської діяльності, що склалися, розглянемо властивості коефіцієнта Бівера [1, 2], що відображає спроможність грошового потоку за період покрити частину коштів, що використовуються у виробничо-господарській діяльності (зобов'язань підприємства). Показник має діапазон нормальних значень, нижня границя якого свідчить про можливу неплатоспроможність підприємств, і розраховується на підставі даних бухгалтерської звітності (форма №1 згідно П(С)БО №2 "Баланс" [3], форма №2 згідно П(С)БО №3 "Звіт про фінансові результати" [4]). Для цілей даного дослідження представимо задовільне
![]() |
де: ЧП - чистий прибуток за даними рядка 220 форми 2;
А - амортизаційні відрахування за даними рядка 260 форми №2;
ЗД ,ЗП - відповідно довгострокові (рядок 480 форми №1) та поточні (рядок 620 форми №1) зобов'язання підприємства, що відображає спроможність покриття зобов'язань підприємства за допомогою грошового потоку з коефіцієнтом, не нижчим за 0,17.
Саме цей показник аналізу фінансового стану підприємства обраний в зв'язку з його призначенням для встановлення неявних ознак неплатоспроможності підприємства, тобто на етапі, коли інші показники (наприклад, показники рентабельності або ефективності використання активів підприємства) ще не спроможні відобразити негативні ознаки менеджерської політики.
Виходячи з формули (1) визначимо розмір грошового потоку, при якому фактичне значення коефіцієнту Бівера перевищуватиме критичний рівень:
З урахуванням чинного податкового законодавства прибуток до оподаткування має відповідати умові:
де П - прибуток до оподаткування.
Представимо прибуток до оподаткування П у вигляді:
де Дв - валовий доход виробничо-господарської діяльності;
Вп - сукупність умовно-постійних витрат, що виникають в процесі виробничо-господарської діяльності;
Вг - сукупність умовно-змінних витрат, що виникають в процесі виробничо-господарської діяльності.
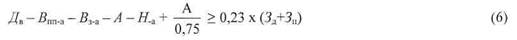
Враховуючи, що умовно-змінні та умовно-постійні витрати можуть включати амортизацію основних фондів та необоротних активів, а також з огляду на необхідність відокремлення накладних витрат, представимо формулу (4) в наступному вигляді:
де Впп-а - прямі умовно-постійні витрати без урахування амортизації;
Вз-а - умовно-змінні витрати без урахування амортизації;
А - загальні амортизаційні відрахування;
Н-а - накладні витрати без урахування амортизації.
|
Після впорядкування складових отримано вираз: |
Формула (8) відображає обмеження розміру накладних витрат, яке забезпечує виконання умов виробничо-господарської діяльності, встановлених коефіцієнтом Бівера - підприємство може собі дозволити накладні витрати не вище розрахункового значення без ризику появи ознак можливої неплатоспроможності якщо результат розрахунку за формулою (7) належатиме інтервалу від 0 до 1.
З огляду на специфічні особливості виробничо-господарської діяльності окремих підприємств бачиться доцільним в рамках аналізу рівня накладних витрат врахувати обсяги обов'язкових капіталовкладень за період, що аналізується:
де Кп - поточні капіталовкладення.
Практичне використання формули (8) потребує врахування низки умов.
По-перше, формула (8) обмежує розмір накладних витрат з метою запобігання ознак можливої неплатоспроможності виходячи з припущення, що основна частина накладних витрат встановлюється шляхом адміністративного рішення, відповідно запропонований підхід ставить за мету впорядкування процесу адміністративного встановлення накладних витрат.
1 2
Інші реферати на тему «Економічні теми»:
Поняття та система забезпечення фінансового менеджменту
Обґрунтування прийняття управлінських рішень в системі кадрового менеджменту авіаційного підприємства
Методичні підходи до виявлення основних механізмів обмеження опортунізму управлінців
Методологічні аспекти сукупного попиту і пропозиції та специфіка їх формування в економіці України
Обґрунтування прийняття управлінських рішень в системі інноваційного менеджменту авіаційного підприємства

