Сторінка
1
Планування інвестицій, визначення їх доцільності, прибутковості завжди є прогнозуванням майбутніх доходів і витрат, тобто грошових потоків. Чи однакову грошову вартість матиме дохід, скажімо, 10 тис. грн, який буде одержано цього року, і такий самий дохід через три роки?
Якщо маємо 10 тис. грн нині, то через рік, за умови, що зберігатимемо їх у банку під 5 % річних, це вже буде 10,5 тис. грн, ще через рік — 11 тис. грн і т. д. А щоб мати через рік 10 тис. грн, сьогодні треба покласти в банк (мати в наявності) 9,5 тис. грн. Отже, у розрахунках, оцінках, порівняннях обсягів коштів, розділених часом, треба враховувати зміну їх вартості.
У загальному вигляді таке збільшення вартості грошей визначається формулою
Ft=P(l + ry, (1)
ReFt, P — вартість суми грошей відповідно у майбутньому і сьогодні; (1 + г У — коефіцієнт компаундування; г — банківська річна ставка; t — порядковий номер року (починаючи з наступного за поточним), якому відповідає значення Р.
Такий перехід від оцінювання нинішньої вартості грошей до їх вар-тості в майбутньому називається компаундуванням.
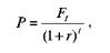
Зворотний процес отримання сьогоднішнього еквівалента вартості коштів, що мають бути в майбутньому, називається дисконтуванням. Загальна формула приведення обсягу коштів майбутнього періоду (Ft ) до еквівалентного обсягу поточного року (Р) має такий вигляд:
Якщо рівень r прогнозується змінним для різних років, то формула приведення обсягу грошових надходжень у році t до поточного року матиме вигляд:
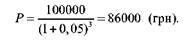
Приклад 1. Якому обсягу коштів сьогодні еквівалентна сума 100 тис. грн, що її одержать через три роки (річний процент — 5 %)? За формулою (2) дисконтування
Приклад 2. Які кошти треба мати сьогодні, щоб через п’ять років повернути борг у сумі 500 тис. грн (банківський депозитний процент у перші два роки — 3,5 %, у наступні три роки — 5 %)?
Треба привести вартість майбутніх коштів (F) до поточного періоду (Р):
Приклад 3. Визначити доцільність двох проектів: маючи 100 тис. грн, купити будинок, аби продати його через п’ять років за 120 тис. грн., чи покласти ці 100 тис. грн у банк під 5 % річних?
Інвестиції в нерухомість через п’ять років дадуть 120 тис. грн. Інвестиції в банківські депозитні сертифікати дадуть змогу одержати
100 • 10,055 = 128 тис. грн.
Порівняння одержаних величин свідчить на користь останнього проекту. Зауважимо надалі, що можливість використання грошей просто як вклад у надійному банку або іншим безризиковим способом, що приносить щорічні проценти приросту, є альтернативним варіантом використання інвестицій для будь-якого інвестиційного проекту. Цей принцип лежить в основі визначення чистої приведеної вартості проекту за допомогою дисконтування.
Приклад 4. Організація міні-пекарні вартістю 40 тис. грн має за прогнозованими розрахунками приносити упродовж п’яти років щоріч-ний чистий прибуток у сумі 12 тис. грн. Чи доцільний цей проект?
Необхідно порівняти загальний прибуток за п’ять років і обсяг витрат 40 тис. грн. Визначимо сумарну за п’ять років вартість очікува-ного прибутку (у тис. грн.), привівши кошти кожного року до умов того часу, коли ми маємо витратити 40 тис. грн інвестицій (ставку дисконту візьмемо 10 %):
разом за п’ять років — 45,45 тис. грн.
Ця сума приведена до умов поточного року й може порівнюватися з обсягом інвестицій 40 тис. грн. Чистий приведений прибуток пере-вищує інвестиційні витрати на 5,5 тис. грн. Проект можна вважати доцільним.
Використання механізму дисконтування майбутніх грошових надходжень практично є методом порівняння доходу від проекту й доходу від вкладання тих самих грошей у банк під щорічний процент. У наведеному прикладі організація міні-пекарні є прибутковішим варіантом, аніж вкладання грошей у банк. Але це не означає, що проект буде прийнятий інвестором. Його прибутковість слід перевірити за допомогою інших показників і порівняти з іншими проектами, які можуть бути в інвестора.
Показники ефективності інвестицій
Основним принципом оцінювання ефективності є порівняння обсягів доходів та витрат, що їх забезпечили. Обґрунтовуючи економічну ефективність інвестиційних проектів, застосовують комплекс показників, що відображають різні аспекти вже зазначеного принципу і дають змогу оцінити доцільність інвестицій системніше.
Для переходу до викладення порядку розрахунку показників наведемо їх умовні позначення:
Р обсяг грошових надходжень від економічної діяльності об’єкта інвестицій після введення його в експлуатацію;
В.— обсяг інвестицій, що потрібні для введення об’єкта в експлуа-тацію (витрати інвестиційні);
Ве — обсяг поточних витрат діючого об’єкта, необхідних для виробництва товарів чи послуг, що виробляє створений об’єкт (витрати експлуатаційні);
At — величина нарахованої за рік амортизації основних фондів, створених за рахунок інвестицій;
Т кількість років життя проекту (експлуатація об’єкта та отримання доходів від інвестицій);
t — індекс (порядковий номер) кожного року експлуатації об’єк-та, t = 1, 2, ., Т.
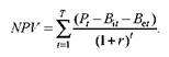
1. Чиста приведена вартість проекту (NPV) розраховується як сума щорічних обсягів доходів без витрат, приведених до умов поточного року:
Для прийняття проекту NPVm&z перевищувати нуль.
1 2
Інші реферати на тему «Державне регулювання економіки»:
Інвестиційна політика в економічно розвинених країнах
Умови сприяння іноземному інвестору
Аналіз зарубіжного досвіду залучення прямих іноземних інвестицій в економіку країни
Розподіл прибутку підприємства на реінвестування розвитку виробництва і дивіденди
Підтримка інвестиційної діяльності податковою політикою
