Сторінка
2
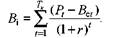
2. Термін окупності проекту (Тk) визначає кількість років, за які за-гальний приведений прибуток дорівнюватиме обсягу інвестицій. Він дорівнює такому t (Tk = t ), при якому
Термін окупності має бути меншим від загального терміну життя проекту: Тk< Т. Тут Тk — кількість років, потрібних для того, щоб обсяг прибутку від інвестицій зрівнявся з обсягом В. (термін окупнос-ті); r — річна ставка дисконту, яка має використовуватися для приве-дення грошових надходжень майбутніх періодів до умов поточного року; #—коефіцієнт приведення,
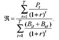
3. Коефіцієнт співвідношення доходів та витрат (SR) розраховується як дріб, де в чисельнику має бути сума приведених вартостей доходів від інвестицій за всі роки, а у знаменнику — сума приведених витрат:
Цей показник має перевищувати одиницю.
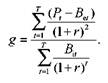
4. Коефіцієнт прибутковості проекту (g) розраховується як співвід-ношення чистої приведеної вартості доходів за період життя проекту та обсягу капіталовкладень:
Приймаються проекти, для яких коефіцієнт прибутковості як мінімум більший за одиницю.
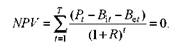
5. Внутрішня норма прибутковості проекту (R) визначається як рівень ставки дисконтування (r), при якому чиста приведена вартість проекту (за період його життя) дорівнює нулю, тобто
Внутрішня норма прибутковості є межею, нижче за яку проект дає негативну загальну прибутковість. Розраховане для проекту значен-ня R має порівнюватися з її нормативним рівнем Rn для проектів та-кого типу. Якщо R > Rn, проект може бути прийнятий, якщо R < Rn, проект відхиляється.
Значення R розраховується методом добору та перевірки послідовних значень r (r > Rn) з використанням комп’ютерних програм або графічно методом побудови функції залежності між NPVта r (рис. 53).
Для кожного проекту, залежно від критеріїв, якими керуються за-інтересоване в ньому підприємство та його експерти, рівень Rn може бути різним залежно від макроекономічної ситуації у країні рівня ризиків у країні, галузі, проекту, середньої рентабельності діяльності підприємства-інвестора, вартості його капіталу, співвідношення пози-ченого та власного капіталу та з інших причин.
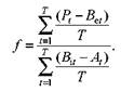
6. Фондовіддача проекту (f) розраховується як відношення серед-ньорічного прибутку за весь період життя проекту до середньорічної
залишкової вартості інвестицій за той самий період з урахуванням їх щорічного зношення:
Цей показник визначає рівень середньої віддачі (отримання прибутку) від кожної грошової одиниці використаних інвестицій.
Список використаної літератури
1. Федоренко В. Г. і К°. Інвестування. Зайнятість. Освіта. — К.: Науковий Світ, 2002.
2. Федоренко В. Г. і К°. Шляхи підвищення ефективності інвестицій в Україні.: — К.: Науковий Світ, 2003.
3. Федоренко В. Г. Інвестиційний менеджмент. —К.: МАУП, 1999.
4. Федоренко В. Г. Інвестиції і капітальне будівництво в ринкових умовах. — К.: Міжнар. фінанс. агенція, 1998.
5. Федоренко В. Г. Перспективи розвитку капітального будівництва за ринкових умов // Про приватизацію: Держ. інформ. бюл. — 1997. — № 2.
6. Федоренко В. Г. Створення промислово-фінансових груп і проблеми управління корпоративними правами // Про приватизацію: Держ. інформ. бюл. — 1999. — № 2.
7. Федоренко В. Г., Бондаренко Е. В. Будівництво та інвестиції в Україні. — К: Знання, 1998.
8. Федоренко С. В. Проблеми залучення іноземних інвестицій і розвиток економіки України // Про приватизацію: Держ. інформ. бюл. — 1999. — № 2.
9. Федотова М. А. Доходи предпринимателя. — М.: Финансьі и статистика, 1993.—96 с.
10. Чернявский А. Д. Организация управления в условиях рыночных отношений. —К.:МЗУУП, 1994.
11. Чернявский А. Д. Современные тенденции развития организационных форм управлення в Украине // Персонал. — 1997. —№4. — С. 3-7.
12. Чернявский А. Д. Трансформация организационных форм управления в процессе развития рыночных отношений // Персонал. — 1996. —№2. — С. 22-36.
13. Шевчук В. Я. Умови ефективного інвестування в будівництві. — К.: Будівельник, 1991. —112 с.
14. Шпек Р. Іноземні інвестиції в Україні // Уряд, кур'єр. — 1996. — № 62. — 2 квіт. — С. 5.
15. Щекин Г. В. К разработке концепции управления современным обществом // Персонал. — 1999. — № 1. — С. 1-23.
16. ЩукінБ. М. Інвестиційна діяльність. — К.: МАУП, 1998.
1 2
