Сторінка
3
де кі — процентна ставка в річних, що нараховується в і-му періоді; п — кількість періодів; tt — тривалість і-го періоду, днів. Якщо сума коштів змінюється протягом періоду інвестування, загальна сума процентів визначається так:
де С1 — сума коштів, розміщених на депозиті в і-му періоді. Нарощена сума за вкладом визначається сумою
Приклад. Протягом чотирьох місяців з 01.01.02 р. по 01.05.02 р. на депозитний рахунок щомісяця вносились кошти в сумі 100 гр. од. Процентна ставка протягом перших 45 днів становила 18% , протягом наступних 76 днів — 20% річних. Обчислити суму нарахованих за 4 міс. процентів, якщо банком нараховується за вкладом проста ставка процентів.
Нижче зображені часова вісь, процентні ставки, кількість днів у часових періодах та залишок коштів на рахунку на початок кожного з періодів.
На основі формули (13.50) отримаємо, гр. од.:
Нарощена сума за вкладом згідно з формулою (13.51) дорівнює, гр. од.: Сн = 400 + 19,62 = 419,62.
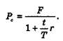
У разі нарахування складних процентів за вкладом нарощена сума та загальна сума нарахованих процентів визначаються з виразів:
Якщо процентна ставка змінюється протягом періоду інвестування, нарощена за п періодів сума матиме вигляд:
Сума нарахованих процентів при цьому дорівнюватиме:
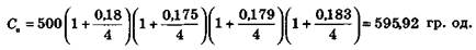
Приклад. На депозитний вклад внесено 500 гр. од. Визначити нарощену протягом року суму, якщо нараховується складна ставка процентів, проценти нараховуються раз на квартал. Процентна ставка за 1—4 квартали: к1 = 18% річних, к2 = 17,5, k3 = 17,9, k4 = 18,3% річних.
Оскільки проценти нараховуються чотири рази на рік, потрібно скоригувати формулу (13.54) відповідно до (13.2):
Проценти, нараховані за рік, становлять
І = 595,92 - 500 = 95,92 гр. од.
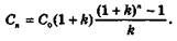
Визначимо суму нарахованих процентів у разі фінансової ренти, коли кошти на депозитний рахунок вносяться однаковими частками через однакові проміжки часу протягом певного періоду часу, що визначається п періодами.
Припустимо, що кошти вносяться на початку кожного періоду в сумі С0. Процентна ставка за період дорівнює k і нараховується у вигляді складних процентів. Суми внесків з нарахованими за відповідний період процентами на момент закінчення терміну депозиту визначаються на основі формули (13.52):
де C1 — нарощена сума на кошти, внесені на початку і-го періоду; п — кількість періодів, що визначає термін депозиту. Нарощена за п періодів у результаті періодичних внесків сума С дорівнює
Використавши формулу для суми членів геометричної прогресії, отримаємо
Сума нарахованих процентів визначається різницею між нарощеною та загальною сумами інвестованих коштів
Приклад. Визначити нарощену суму та проценти за фінансовою рентою, якщо внески в сумі 1000 гр. од. вносились щороку впродовж чотирьох років, процентна ставка за рентою становить 15% річних. Згідно з формулами (13.56), (13.57) нарощена сума та проценти дорівнюють:
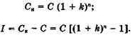
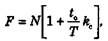
Якщо внесення коштів на депозит оформлено у вигляді строкового депозитного сертифіката на пред'явника, вартість погашення сертифіката визначається за формулою
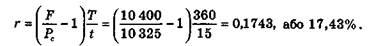
де N — номінальна вартість сертифіката; кс — процентна ставка за сертифікатом; ta — термін обігу. При перепродажу сертифіката на вторинному ринку його ринкова вартість буде визначатись з урахуванням ринкової дохідності r:
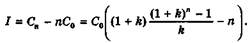
Якщо до терміну погашення сертифіката залишилось t днів, придбання сертифіката за ринковою ціною Рс забезпечить інвестору дохідність на рівні ринкової ставки доходу r.
Приклад. Депозитний сертифікат, номінал якого становить 10 000 гр. од., термін обігу — 90 днів, придбаний на ринку за ціною 10 325 гр. од. за 15 днів до погашення. Визначити суму, яку отримає власник сертифіката при погашенні, а також очікувану дохідність, якщо процентна ставка за сертифікатом становить 16% річних.
Вартість погашення визначимо згідно з формулою (13,58):
F = 10 000 (1 + 0,16 • 90 : 360) = 10 400 гр. од.
Очікувану дохідність обчислимо, скориставшись формулою (13.59):
Рекомендована література
1. Брігхем Є.Ф. Основи фінансового менеджменту. — К.: Молодь, 1997.
2. Панова С. Анализ финансового состояния коммерческого банка. — М.: Перспектива, 1996.
3. Финансовое управление компанией / Под ред. Е.В. Кузнецовой. — М.: Фонд "Правовая культура", 1996.
