Сторінка
1
Видами доходу за будь-яким фінансовим активом є дохід від володіння та дохід від перепродажу фінансового активу на вторинному ринку. Дохід від володіння борговим зобов'язанням з плаваючою ставкою коригується ринком незалежно від того, існує чи не існує вторинного ринку таких зобов'язань. Дохід від володіння борговим зобов'язанням з фіксованим купоном визначається ставкою купона, якщо це зобов'язання не перебуває в обігу на вторинному ринку і коригується ринковою ціною при його перепродажу на ринку. При цьому очікуваний рівень доходу за зобов'язанням відповідає ринковій дохідності подібних зобов'язань.
Визначення ставки доходу від володіння фінансовим активом здійснюється з урахуванням часового чинника і грунтується на оцінці очікуваних грошових потоків за ним. Очікуваний рівень доходу від володіння борговим зобов'язанням розраховується на основі купонних виплат, номінальної вартості та часового періоду до погашення фінансового активу. Очікувана дохідність акції обчислюється виходячи з певних припущень щодо розміру очікуваних дивідендів. Оскільки майбутній розмір дивідендних виплат залежить від багатьох чинників, навіть в умовах стабільних діяльності корпорації та дивідендної політики визначення очікуваної дохідності акцій є в більшості випадків досить складним завданням.
Дохідність операцій з купівлі-продажу фінансових активів на вторинному ринку, як правило, розраховують на основі короткострокових часових періодів (менш як рік) у вигляді річної процентної ставки. Так само визначають дохідність короткострокових фінансових активів.
Для визначення дохідності операцій з фінансовими активами на вторинному ринку використовують формулу
де Рп — ціна продажу чи погашення фінансового активу; Рк — ціна купівлі фінансового активу на ринку; В — процентні чи дивідендні виплати за період t; Т — часова база (365 або 360 днів); t — період володіння фінансовим активом.
Період володіння t фінансовим активом, як правило, менший від 1 року, оскільки спекулятивні операції проводяться переважно в короткостроковий період. Крім того, багато таких операцій здійснюються з інструментами грошового ринку, термін обігу яких менш як 1 рік і які часто розміщуються на дисконтній основі.
Розглянемо три основні способи визначення ставки доходу за векселями та іншими дисконтними цінними паперами, які базуються на використанні формул простих та складних процентів. Ставку доходу, обчислену цими трьома способами, називають відповідно банківсько-дисконтною, купонно-еквівалентною та ефективною.
Банківсько-дисконтну ставку доходу kB визначають за формулою
де N — номінальна вартість векселя; Р — ринкова вартість векселя; Т — часова база; t — термін погашення векселя, днів.
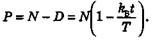
Процентну ставку kB також називають обліковою. Якщо банк вказує таку ставку, то за нею можна розрахувати суму Р, яка буде сплачена банком власнику векселя при його обліку, та дохід банку — дисконт D від обліку векселя. Отже, відповідно до формули (13.25)
Приклад 1. Вексель на суму 100 000 гр. од. обліковується банком за півроку до терміну його погашення. Облікова ставка банку АБ дорівнює 15% річних. Визначити суму, сплачену банком власнику векселя, та суму дисконту банку.
Сума, сплачена банком власнику векселя, згідно з формулою (13.27)
Дисконт банку від обліку векселя становить
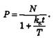
Дохідність операції з обліку векселя, як і дохідність будь-якої операції з фінансовими активами на вторинному ринку, може бути розрахована на основі формули (13.24). Відповідний дохід називають купонно-еквівалентним доходом:
За цією формулою можна визначити дохідність операції з купівлі-продажу чи купівлі з подальшим погашенням будь-якого дисконтного боргового зобов'язання. При цьому N визначає ціну продажу, або номінальну вартість боргового зобов'язання, за якою відбудеться погашення Р — поточна ринкова ціна зобов'язання, t — термін погашення, днів.
Користуючись формулою (13.28), можна визначити, якою має бути ціна дисконтного зобов'язання на вторинному ринку, щоб забезпечити інвестору дохідність у розмірі Ак:
За цією формулою та формулою (13.27) можна отримати залежність між банківське-дисконтним та купонно-еквівалентним доходом:
Чим менша кількість днів t до погашення векселя, тим менше відрізняються ставки kK та kв, незалежно від початкового терміну погашення векселя. В цілому ставка купонно-еквівалентного доходу feK завжди перевищує ставку kB.
Приклад 2. Визначити дохідність для банку операції з обліку векселя, наведеної в прикладі 1.
Купонно-еквівалентний дохід можна обчислити за формулами (13.28) або (13.30):
Приклад 3. Який дохід забезпечить інвестору купівля короткострокової дисконтної облігації 01.04.02 р. за ціною 96,5 гр. од. з подальшим погашенням 01.09.02 р. за номінальною вартістю 100 гр. од.? Чи зможе забезпечити інвестору більшу дохідність продаж облігації 01.07.02 р. за ціною 98,5 гр. од.?
Купівля облігації 01.04.02 р. за ціною 96,5 гр. од. з подальшим погашенням 01.09.02 р. за номінальною вартістю 100 гр. од. забезпечить інвестору рівень доходу
Продаж облігації на вторинному ринку 01.07.02р. за ціною 98,5 гр. од. забезпечить нижчий рівень доходу, а саме:
Для того щоб зберегти реальну дохідність операцій на вторинному ринку на належному рівні в умовах інфляції, потрібно визначити процентні ставки kK і kB з урахуванням відповідних рівнів інфляції.
1 2
