Сторінка
1
Умовами кредитного договору передбачені різні схеми погашення кредиту. Це може бути погашення однаковими чи різними частками, погашення одним платежем основної суми боргу та процентів тощо.
Визначимо суму процентних платежів за кредитом, основна сума якого погашається однаковими частинами. Нехай С2 — сума кредиту, п — кількість років, k — процентна ставка за кредитом. При погашенні основної суми боргу однаковими частками сума погашення за рік становитиме СІ : п, процентні виплати за перший рік — C1k. Залишок боргу становитиме:
на початок другого року:
на початок третього року:
на початок і-го року:
Сума процентів, сплачених за і-й рік:
Загальну суму процентів, сплачених за весь період кредитування, визначають за формулою
Зважаючи на те, що під знаком суми — члени арифметичної прогресії, можна спростити вираз
Якщо проценти сплачуються т разів на рік, загальна сума процентів, сплачених за весь період, буде визначатись за формулою
Платежі в погашення кредиту за і-й період Д складаються із суми процентів за період та частки боргу:
або
Приклад. Кредит у сумі 50 000 гр. од. наданий на 5 років під 15% річних з погашенням основної суми боргу щороку однаковими частинами. Визначити суму процентів, отриманих банком від надання кредиту та платіж у погашення кредиту за четвертий рік.
Проценти, отримані банком за весь період кредитування, визначимо за формулою (13.38)
Платіж у погашення кредиту за четвертий рік згідно з формулою (13.39)
Визначимо суму процентних платежів за кредитом, який погашається однаковими частинами. Платежі в погашення кредиту в цьому разі однакові протягом усього періоду кредитування і містять різні частки основної суми боргу та процентів у погашення боргу.
Нехай періодичні платежі в погашення кредиту дорівнюють D. Якщо k — процентна ставка за кредитом, а СІ — сума кредиту, то проценти, сплачені за перший період, становитимуть kC1 Платіж у погашення кредиту за перший період визначається так:
де di — частка основної суми боргу, що погашається в першому періоді. Залишок боргу на початок другого періоду становитиме
Позначивши через dг частку основної суми боргу, сплачену в другому періоді, і врахувавши те, що платежі в погашення кредиту за перший і другий періоди однакові, отримаємо рівність
або
звідки
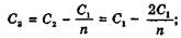
Визначимо частку основної суми боргу, що погашається в третьому періоді, та залишок боргу на початок третього періоду
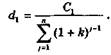
Частка основної суми боргу, що погашається в і-му періоді, визначається виразом:
Оскільки сума всіх платежів у погашення основної суми боргу дорівнює сумі кредиту СІ, можна визначити платіж за перший період:
Звідки
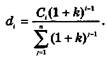
Підставляючи отриманий вираз у формулу (13.40), отримаємо частку основної суми боргу, що погашається в і-му періоді:
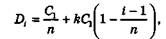
Залишок боргу на початок і-го періоду становитиме
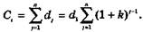
Сума процентів, сплачена за весь період кредитування
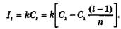
Проценти, сплачені за і-й період, відповідно становлять:
Отже, платіж у погашення кредиту за і-й період визначається сумою
де dt — платіж у погашення основної суми боргу, що визначається виразом (13.42); Ct — залишок боргу на початок і-го періоду, що визначається виразом (13.43). Сума платежів за весь період кредитування дорівнює сумі кредиту та сумі сплачених за ним процентів
Приклад. Припустимо, що кредит у сумі 100 000 гр. од. наданий на чотири роки під 16% річних з погашенням однаковими частинами. Платежі в погашення кредиту сплачуються щороку. Визначити частину основної суми боргу, що погашається в кожному з періодів, та загальну суму процентів, отриманих банком від надання кредиту.
Згідно з формулою (13.27);
