Сторінка
2
Кредит погашається однаковими частинами, кожна з яких дорівнює:
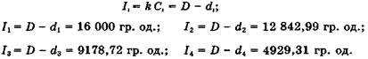
Проценти, сплачені позичальником за кожен з чотирьох років, можна обчислити, використавши залежність (13.46):
Загальна сума процентів за чотири роки становитиме
І = І1 + І2 + І3 + І4 = 42 951,02 гр. од.
Дохідність сукупності кредитних операцій, як і дохідність інших фінансових операцій, визначається річною процентною ставкою і характеризує рівень процентних доходів, отриманих на інвестовані кошти.
Загальна дохідність кредитних операцій за деякий період t визначається часткою від ділення суми отриманих процентів на суму наданих кредитів:
де Іі — сума процентних виплат за і-м кредитом; Сі — сума наданого і-го кредиту; п — кількість наданих за період кредитів.
Загальна дохідність сукупності кредитних операцій може значно відрізнятись від дохідності окремих операцій, оскільки враховує термін кредитної операції та ефективність використання кредитних ресурсів.
Якщо кредитні ресурси використовуються протягом усього періоду, то внаслідок цього підвищується загальна дохідність кредитних операцій. Якщо частина ресурсів використовується лише протягом частини періоду, то значно знижується загальна дохідність кредитних операцій. У разі, коли всі кредитні ресурси використовуються протягом усього досліджуваного періоду, загальна дохідність буде збігатися з так званою середньозваженою, її визначають формулою
де kі — процентна ставка за і-м кредитом; wі — частка і-го кредиту в загальній сумі кредитів, тобто
(С1 — сума і-го кредиту; С2 — загальна сума кредитів, наданих протягом досліджуваного періоду). Середньозважена дохідність не враховує термінів кредитування, оскільки відповідно до формули (13.48) враховуються процентні ставки за кредитами, а не сума отриманих процентів. Однак середньозважена дохідність суттєво залежить від конкретного виду кредитних ресурсів, наданих під визначену процентну ставку. Чим більша сума
кредитів, наданих під ставку klt тим більший вплив матимуть величина цієї процентної ставки на розмір середньозваженої дохідності.
Приклад. Визначити загальну та середньозважену дохідність кредитних операцій за квартал, якщо протягом кварталу були надані три кредити: в сумі 100 000 гр. од. на 3 міс. під 16% річних; 150 000 гр. од. на 2 міс. під 15,8% річних; 80 000 гр. од. на 1 міс. під 15,6% річних.
Проценти, отримані за наданими кредитами, становлять, гр. од.:
І1 = 0,16 • 100 000 • 3 : 12 = 4000;
І2 = 0,158 • 150 000 • 2 : 12 = 3950;
І3 = 0,156 • 80 000 • 1 : 12 = 1040.
Загальна дохідність цієї сукупності кредитних операцій згідно з формулою (13.47) дорівнює
Середньозважену дохідність розраховують відповідно до формули (13.48)
Низьке значення загальної дохідності обумовлене тим, що не всі кошти були інвестовані в кредити протягом трьох місяців. Якщо вважати, що всі кредити надано на 3 міс., то сума процентних виплат за кожним з кредитів становитиме, гр. од.: І1 = 4000; І2 = 5925; І3 = 3120, а загальна дохідність зросте до 15,81% і буде збігатися з середньозваженою дохідністю.
Для визначення дохідності кредитних операцій, що здійснюються комерційними банками, використовують також показник середньої дохідності всіх кредитних операцій за деякий період t. Цей показник розраховують як частку від ділення отриманих за період t процентів за кредитами І на середній залишок коштів на відповідних рахунках, що відображають суму інвестованих у кредити коштів Д.:
Так само розраховують і загальну дохідність усіх "працюючих" активів банку, основу яких становлять кредити та інвестиції в цінні папери. В цьому разі І означає не тільки проценти, отримані банком від надання кредитних послуг, а й весь дохід від активних операцій, отриманий банком за період t.
Приклад. Залишки на рахунках "кредити, надані банком" на 01.01.02 р. становив 5 млн гр. од., на 01.04.02 р. — 5,2 млн гр. од. Процентні доходи банку від надання кредитів за квартал — 0,24 млн гр. од. Визначити середню дохідність кредитних операцій за квартал.
Згідно з формулою (13.49) середня дохідність становить
Дохідність депозитних операцій залежить від суми вкладених коштів, способу нарахування процентів та частоти їх нарахування. Якщо на депозитному вкладі розміщена сума С, на яку щоперіоду нараховується проста ставка процентів, загальна сума процентних виплат становитиме
