Сторінка
1
Фінансові інвестиції передбачають одержання прибутків від вкладення капіталу в інвестиційні цінні папери — облігації, акції, паї, внески тощо. У процесі формування портфеля фінансових інвестицій підприємству необхідно насамперед проаналізувати співвідношення таких основних характеристик, як дохідність та рівень ризику. Дохідність цінних паперів залежить від двох чинників:
• очікуваної норми дохідності;
• норм та правил оподаткування доходів від операцій з цінними паперами.
Ризик вкладення капіталу в цінні папери не однорідний за своїм змістом, тому його треба визначати як сукупність основних ризиків, на які наражається інвестор у процесі придбання та зберігання цінних паперів, а саме: ризик ліквідності цінних паперів; ризик їх дострокового відкликання; інфляційний ризик; відсотковий, кредитний та діловий ризик; ризик, пов'язаний із тривалістю періоду обігу цінного паперу.
Рішення щодо купівлі чи продажу певних фінансових інструментів необхідно приймати після ретельного аналізу та обчислення як рівня їх дохідності, так і рівня ризиковості. Ми спочатку розглянемо методику аналізу дохідності фінансових інвестицій, а вже потім — основні підходи до аналізу ризиків.
Фінансові інвестиції характеризуються такими показниками, як ринкова ціна (Р), внутрішня (теоретична або розрахункова) вартість (F), рівень дохідності (норма прибутку). Значення ринкової ціни та
внутрішньої вартості часто не збігаються, оскільки кожен інвестор має власні міркування щодо внутрішньої вартості цінного паперу, покладаючись на свої суб'єктивні очікування та на результати проведеного ним аналізу.
Ринкова ціна — це задекларований показник, що об'єктивно існує на ринку. Ціна цінного паперу відображається у відповідних котируваннях і називається курсовою ціною. У будь-який момент часу на ринку існує тільки одна ціна для певного фінансового інструменту.
Внутрішня вартість фінансової інвестиції — це розрахунковий показник, а тому він залежить від тієї аналітичної моделі, на базі якої проводяться обчислення. Унаслідок цього в будь-який момент часу цінний папір може мати кілька значень внутрішньої вартості, причому теоретично їх кількість дорівнює кількості учасників ринку, які користуються різними моделями. Отже, оцінка внутрішньої вартості є до певної міри суб'єктивною.
У процесі аналізу співвідношення ринкової ціни та внутрішньої вартості визначається доцільність тих чи інших управлінських рішень щодо конкретного цінного паперу. Якщо внутрішня вартість цінного паперу, що її розраховано потенційним інвестором, є вищою за поточну ринкову ціну, то такий папір вигідно в цей момент придбати, оскільки його недооцінили на ринку. Якщо на думку конкретного учасника ринкова ціна цінного паперу перевищує його внутрішню вартість, то немає сенсу купувати такий папір, оскільки його ціну завищено. Водночас таке співвідношення ціни та вартості вказує на те, що його вигідно продати, коли він уже є в портфелі інвестора. Якщо ринкова ціна та внутрішня вартість цінного паперу збігаються, то це означає, що операції спекулятивного характеру (з метою одержання доходу від різниці між ціною продажу та купівлі) навряд чи можливі.
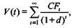
У сучасній економічній літературі існують різні підходи до визначення внутрішньої вартості фінансових інструментів, але на практиці найпоширенішою є фундаменталістська теорія, згідно з якою внутрішня вартість цінних паперів розраховується за формулою, запропонованою Дж. Вільямсом ще 1938 року:
де V(f) — внутрішня вартість цінних паперів у момент t; CFt, — очікуваний потік відсоткових виплат за цінним папером в г'-й період
(ζ = 1, .,n);d— прийнятна або очікувана дохідність цінного паперу (норма прибутку).
Як випливає з формули (11.4), яку надалі називатимемо базовою моделлю, внутрішня вартість цінного паперу залежить від трьох чинників:
• з очікуваних грошових надходжень;
• тривалості періоду обігу цінного паперу (або періоду прогнозування для безстрокових інструментів);
• норми прибутку.
Наведену модель можна використати для розв'язання різних задач, що постають під час прийняття інвестиційних рішень. Спираючись на модель, інвестор може розрахувати внутрішню вартість інвестиції за різних значень вихідних параметрів (грошових потоків та норми прибутку) у процесі імітаційного моделювання. Знаючи поточну ринкову ціну та узявши її за таку, що дорівнює внутрішній вартості, можна обчислити норму прибутку цього цінного паперу та порівняти одержане значення з альтернативними варіантами інвестування коштів. Методику аналізу дохідності фінансових інвестицій розглянемо на прикладі двох найпоширеніших видів цінних паперів: облігацій та акцій.
Аналіз дохідності облігацій
Облігації належать до класу боргових цінних паперів, які є зобов'язаннями емітента, розміщеними на фондовому ринку з метою запозичення грошей на певних умовах. Облігації різняться за умовами емісії, характером і термінами обігу, способами забезпечення та виплати доходу.
Залежно від цих характеристик виділяють облігації з нульовим купоном, облігації з фіксованою або змінною купонною ставкою, безвідкличні та відкличні облігації. Відповідно до виду облігації модифікується й аналітична модель (11.4), за якою проводиться розрахунок внутрішньої вартості та норми прибутку.
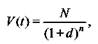
Облігації з нульовим купоном. Умовами емісії виплату відсотків за такими цінними паперами не передбачено. Дохід інвестора формується як різниця між номінальною вартістю та емісійним курсом облігації, встановленим на дисконтній основі (тобто нижче за номінал). Отже, облігації з нульовим купоном належать до дисконтних цінних паперів. Така облігація генерує грошовий потік лише один раз, дохід інвестор одержує в момент погашення, тому формула (11.4) набирає вигляду
де N— номінальна сума облігації, яка виплачується за її погашення; η — тривалість періоду до погашення облігації (роки).
Приклад 4
Проаналізуємо доцільність придбання облігації з нульовим купоном номінальною сумою 1000 грн, яка продається за ціною 750 грн і яку буде погашено через 2 роки. Зважимо, що підприємство має можливість альтернативного розміщення коштів із нормою прибутку 14 %. Аналіз проведемо двома способами.
1. Розрахуємо теоретичну вартість облігації, спираючись на норму прибутку альтернативного варіанта розміщення коштів, та порівняємо її з поточною ринковою ціною.
1 2
