Сторінка
2
2. Обчислимо дохідність облігації за формулою, похідною від
Порівняємо цю формулу з нормою прибутку альтернативного проекту, що дасть можливість вибрати прибутковіший напрям інвестування коштів. За першим способом
V(f) = 1000 : (1 + 0,14)2= 769,5 грн.
Як показав розрахунок, теоретична вартість облігації (769,5 грн) вища за її поточну ціну (750 грн), що дає підстави розглядати її як вигідний об'єкт інвестування.
За другим способом:
Оскільки одержане значення дохідності облігації вище, ніж в альтернативному варіанті на 1,4 %, то придбання такого цінного паперу також слід визнати доцільним.
Облігації з фіксованою купонною ставкою. Облігації, умовами емісії яких передбачено виплату відсотків у розрахунку на номінальну суму інвестиції, називаються купонними. Виплати тут здійснюються за купонами — відрізними талонами з указаною на них ве-
личиною купонної ставки. Розрізняють облігації з фіксованою купонною ставкою та з плаваючою, тобто такою, яка може змінюватися упродовж періоду обігу. Купонні облігації можуть продаватися як за номінальною вартістю, так і з дисконтом або премією — залежно від кон'юнктури ринку та їх привабливості для інвесторів. Тому за облігаціями з фіксованою купонною ставкою очікуваний дохід інвестора складається з двох частин:
• рівномірних за періодами надходжень відсоткових виплат, обіцяних емітентом;
• імовірних капітальних прирощень (збитків) унаслідок зміни ринкової ціни облігації.
Базова модель у такому разі має вигляд:
де А: — купонна ставка облігації.
Приклад 5
Проаналізуємо доцільність придбання підприємством дворічної облігації номіналом 1000 грн зі щорічною виплатою купонної ставки 15 %. Облігацію можна придбати за ціною 950 грн; середньорин-кова норма дохідності становить 17 %.
Як і в попередньому прикладі, аналіз можна провести двома способами. Перший спосіб полягає в розрахунку теоретичної вартості на основі середньоринкової дохідності та її порівнянні з ринковою ціною. Другий спосіб — це розрахунок очікуваної норми дохідності облігації (d), як невідомої величини рівняння (11.6), за умови, що внутрішня вартість дорівнює ринковій ціні. Порівняння одержаної норми дохідності із середньоринковою уможливить прийняття обґрунтованого рішення щодо придбання цього виду цінних паперів. Скористаємося цим способом і розрахуємо очікувану норму дохідності облігації.
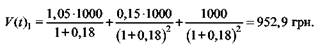
Отже, формула (11.6) — це рівняння з одним невідомим d— дохідністю облігації. Для визначення невідомої величини знову вдамося до способу послідовних ітерацій, описаного. Нехай дохідність цінного паперу до моменту погашення дорівнює 4=18 %, тоді:
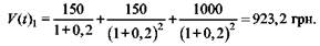
Ця сума (953 грн) вища за поточну ціну облігації, тому реальна норма дохідності має бути вищою за 18 %. Виконаємо обчислення за умови, що d2 = 20 %:
Сума 923,2 грн нижча за поточну ціну облігації 950 грн, тому значення невідомої величини й? міститься в межах від 18 до 20 % і становить 18,2%:
Отже, дворічна облігація з купоном 15 %, придбана з дисконтом 50 грн, має очікуваний рівень дохідності до моменту погашення 18,2%. Оскільки отримане значення перевищує середньо-ринкову норму дохідності (17 %), то придбання такої облігації можна визнати доцільним.
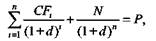
Облігації з плаваючою купонною ставкою. Якщо умовами емісії облігації рівень купонної ставки не зафіксовано і вона змінюється залежно від рівня інфляції чи ставки відсотка за кредитами, то такі цінні папери називаються облігаціями з плаваючою купонною ставкою. Внутрішня вартість таких облігацій обчислюється за формулою:
де CFt — грошові потоки, що їх генерує облігація в г'-му періоді.
Процедура аналізу облігацій з плаваючою купонною ставкою не відрізняється від описаних вище, за винятком того, що грошовий потік у кожному із періодів може змінюватися.
Відкличні облігації. Облігації, умови випуску яких передбачають право емітента погасити їх до закінчення періоду обігу, називаються відкличними. У процесі аналізу дохідності відкличних облігацій до уваги береться не номінал облігації, а її викупна ціна (ціна дострокового відкликання), тобто ціна, за якою емітент викупає облігацію до настання строку погашення. Як правило, за дострокового відкликання викупна ціна облігацій не збігається з їх номіналом. Іноді щодо відкличних облігацій встановлюється ще й термін захисту від дострокового погашення, тривалість якого теж впливає на рівень дохідності такої облігації.
Така сама ситуація виникає також і за умови продажу цінного паперу до настання строку погашення. Підприємство може вдатися до дострокового продажу цінних паперів з різних причин, наприклад у разі активного підходу до управління портфелем цінних паперів. Іноді цінні папери продають достроково для підтримування ліквідності, а іноді через необхідність реструктуризації активів.
За умови дострокового відкликання (або продажу) дохідність цінного паперу за період зберігання обчислюється за формулою
де η — кількість періодів, упродовж яких облігація була в обігу; Ρ — викупна ціна або поточна ринкова ціна, за якою облігацію можна продати; d—дохідність цінного паперу до моменту відкликання або за період зберігання (невідома величина). Отже, формула (11.8) є рівнянням з одним невідомим а, адже всі інші величини, у тому числі й викупна ціна Р, є відомими. Аналіз дохідності таких облігацій проводять так само, як і в попередніх прикладах.
Крім зазначених, на ринку можуть обертатися безстрокові облігації, які передбачають невизначено тривалий час виплати доходів за фіксованою чи плаваючою ставкою. У такому разі методи обчислення внутрішньої вартості облігації не відрізняються від аналогічних розрахунків щодо акцій.
Список використаної та рекомендованої літератури
1. Економічний аналіз: Навч. посіб. / М. А. Блюх, В. 3. Бурчевський; За ред. М. Г. Чумаченка. — К.: Вид-во КНЕУ, 2001. — 540 с.
2. Примастко Л. О. Фінансові деривативи: аналітичні та облікові аспекти. — 263 с.
3. Федоренко В. Г., Гойко А. Ф. Інвестознавство: Підруч. / За наук, ред. В. Г. Федоренка. — К.: МАУП, 2000. — 408 с.
4. Інвестиційні процеси в промисловості України: Монографія / В. Г. Федоренко, О. Ф. Іткін, Д. В. Степанов та ін.: За наук. ред. В. Г. Федоренка. — К.: Наук, світ, 2001. — 447 с.
1 2
