Сторінка
2
Крім відсоткової ставки, на інвестиції впливають такі невідсот-ковічинники:
• витрати на основний капітал. Із зростанням витрат інвестиційний попит скорочується, і навпаки;
• податки на підприємця. Зростання податків призводить до зниження дохідності і зміщує криву попиту на інвестиції ліворуч, а зменшення податків — праворуч;
• технологічні зміни. Прискорення НТП змішує криву попиту на інвестиції праворуч, і навпаки;
• очікування. За оптимістичних прогнозів економічних умов у країні попит на інвестиції зростає, крива попиту зміщується праворуч, за песимістичних — ліворуч (рис. 5.5).
Рис 5 4 Функція інвестиційного попиту
Рис 5 5 Вплив невідсоткових чинників на інвестиції
Мультиплікатор інвестицій
Розрізняють автономні інвестиції та індуційовані.
Автономні інвестиції— це інвестиції, які не залежать від рівня доходу. Найпростіша функція автономних інвестицій має вигляд: / = е - dR, де / — автономні інвестиційні витрати, е — автономні інвестиції, які визначаються зовнішніми економічними чинниками (запаси корисних копалин), R — реальна відсоткова ставка, d — емпіричний коефіцієнт чутливості інвестицій до динаміки ставки відсотка.
Індуційовані інвестиції — це інвестиції, які залежать від рівня доходу.
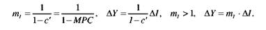
Мультиплікатор інвестицій, т, — це число, яке показує, у скільки разів зростає рівноважний дохід Δ 7 за умови збільшення автономних інвестицій на ΔI:
Зв'язок між мультиплікатором та граничними схильностями виражається таким чином:
Список використаної та рекомендованої літератури
1. Агапова Τ. Α., Серегина С. Φ. Макроэкономика: Учебник / Под общ. ред. А. В. Сидоровича. — Μ.: Дело и сервис, 2000. — Гл. 5.
2. Долан Э. Дж., Линдсей Д. Макроэкономика. — СПб.: Литера-плюс, 1994. — Гл. 5, 6.
3. Макроэкономика I В. М. Гальперин, П. И. Гребенников, А. И. Леус-ский, Л. С. Тарасевич. — СПб., 1994. — Гл. 3.
4. Манків Η. Грегорі. Макроекономіка: Підруч. для України. — К.: Основи, 2000. — Розд. 16, 17.
5. Савченко А. Г., Пухтаєвич Г. О., Тітьонко О. М. Макроекономіка. — К.: Либідь, 1999. — Гл. 4.
6. Селищев А. С. Макроэкономика: Учебник для вузов. — СПб.: Питер, 2000. — Гл. 2, 3.
7. Статистичний щорічник України / Державний комітет статистики України. 1997-2004. — К.: Техніка.
1 2
Інші реферати на тему «Макроекономіка»:
Модель економічного кругообігу
Теорія економічного циклу. Антициклічне регулювання
Завдання та зміст плану зовнішньоекономічної діяльності
Функція заощаджень. Середня та гранична схильність та заощадження
Ефект акселератора в механізмі циклічного коливання. Вплив акселератора на нестабільність економіки
