Сторінка
3
Показник загального обсягу виробництва, який обчислюється у поточних цінах, — це номінальний ВВП. ВВП номінальний — не скоригований з рівнем цін показник.
Показник загального обсягу виробництва, який обчислюється у постійних цінах, — це реальний ВВП. ВВП реальний — скоригований з рівнем цін показник.
Дефлятор ВВП, або індекс ВВП — індекс цін, який використовується для коригування номінального ВВП з урахуванням інфляції або дефляції і одержання на цій основі реального ВВП:
Показником економічного добробуту вважається індекс цін споживчих благ, або індекс споживчих цін (Consume price index, CPf).
Індекс споживчих цін (ІСЦ) — це відношення вартості споживчого кошика товарів і послуг у розрахунковому році до вартості цього самого кошика у базовому році.
Індекс споживчих цін є найпоширенішим у використанні індексом цін. Значення індексу визначається, виходячи з ціни ринкового кошика товарів та послуг типової міської родини.
2.5. Темп зростання і темп приросту
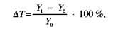
На основі ВВП реального обчислюються темп зростання фізичного обсягу виробництва і темп приросту обсягу виробництва. Темп приросту:
де Yt— ВВП реальний у поточному році, Y0 — ВВП реальний у базовому році.
Темп зростання (економічного):
Список використаної та рекомендованої літератури
1. Мікроекономіка та макроекономіка: Підруч. / За ред. С. Буда-говської. — К.: Основи, 1998. — Ч. 2. — Розд. 1, 2.
2. Мэнкъю Η. Г. Принципы экономике. — СПб.: Питер Ком, 1999. — Гл. 22, 23.
3. Савченко А. Г., Пухтаевич Г. О., Тітьонко О. М. Макроекономіка. — К.: Либідь, 1999. — Гл. 2.
4. Семюелъсон П., Нордгауз В. Макроекономіка. — К.: Основи, 1997.— Розд. 6.
5. Статистичний щорічник України / За ред. О. Г. Осауленка / Державний комітет статистики України. 1999-2004. — К.: Техніка. — Розд. 2, 4.
6. Тітьонко О. Μ. Системи макроекономічного рахівництва: Навч.-метод. посіб. — К.: Вид-во КНЕУ, 1999.
7. Фишер С., Дорнбуш Р., Шмалензи. Экономика. — Μ.: Дело, 1993. — Гл. 24.
8. Internet: www.bank.gov.ua/Macro
Інші реферати на тему «Макроекономіка»:
Валовий внутрішній продукт та інші основні макроекономічні показники
Поняття про систему національних рахунків та її показники. Грошово-кредитне регулювання економіки
Банки та їх роль в економіці
Теорія економічного циклу. Антициклічне регулювання
Стратегічні підходи при встановленні ціни на новий товар
