Сторінка
1
Підприємство як система розвивається подібно до зміни періодів формування, функціонування і відновлення. Відповідно й процес фінансового управління складається з управління формуванням системи інвестицій і системи фінансових ресурсів та фінансових джерел підприємства; розподілом прибутку; процесом зростання або скорочення фінансових можливостей підприємства. Кожний період характеризується метою, засобами її досягнення й отриманими результатами.
Мета періоду формування полягає у створенні індивідуальної системи інвестицій підприємства, адекватної потребам ринку і внутрішнім можливостям. Засобом досягнення мети є інвестиції та вибір фінансових джерел для їх здійснення. Через формування системи інвестицій створюється капітал підприємства.
Зазначимо, що мета періоду формування і його результат не завжди збігаються. Мало того, між ними можуть виникати суперечності, основна причина яких полягає в тому, що зовнішнє середовище підприємства може змінюватися швидше, ніж внутрішнє. Існує два розуміння категорії інвестування. У широкому значенні інвестування — це вкладення будь-яких коштів з метою подальшого одержання прибутку, у вузькому — це вкладення коштів у матеріальну частину бізнесу, тобто в основний та оборотний капітал підприємства.
Метою інвестування є одержання вигоди. Для вимірювання вигоди використовують дохід і прибуток. Імовірність досягнення мети залежить від правильності оцінювання ризику, повноти і точності його розрахунку.
Якщо інвестиційне рішення приймається в умовах визначеності, то враховується насамперед одна змінна — віддача, або рентабельність. Наприклад, якщо від проекту А очікується рентабельність 20 %, а від проекту Б— 35 %, то вибір за інших рівних умов однозначний. Вибір інвестиційного проекту в умовах ризику складніший, бо визначається вже двома змінними — віддачею і ризиком. Наприклад, проект А обіцяє більшу віддачу, але водночас він ризикованіший. За цих умов вибір залежить від ставлення підприємства до ризику і віддачі.
Кожне підприємство з огляду на власні особливості по-своєму ставиться до ризику і віддачі. Більшість підприємств вважають кращими проекти, не пов'язані з ризиком. Водночас ставлення до ризику багато в чому залежить від розміру капіталу, наявного на підприємстві. Якщо він невеликий і становить, наприклад, 100 млн грн, то втрата для підприємства 20 млн грн дуже істотна. Якщо розмір капіталу становить 1 млрд грн, то ставлення до втрати 20 млн грн буде іншим, підприємство може ризикувати. Це пояснюється дією закону граничної корисності капіталу, що зменшується. Підприємці, чий капітал не перевищує певної межі, намагаються уникати ризику; при переході цієї межі суб'єктивна оцінка цінності капіталу знижується, і інвестори ризикують сміливіше.
Таким чином, в умовах ринкової економіки кожне підприємство, вибираючи інвестиційний проект, повинно оцінити ризик.
У світовій практиці існує кілька методів оцінювання ризику: статистичний, експертний і комбінований.
Статистичний метод вимірювання ризику полягає у вивченні статистики втрат, що були на тому чи іншому підприємстві: встановлюють імовірність одержання економічної віддачі й визначають середній розмір цієї віддачі, після чого складають прогноз. Основними інструментами статистичного методу є варіація і дисперсія.
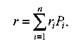
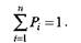
Варіація — це зміна (коливання) величини ознаки (наприклад, зміна економічної рентабельності при переході від одного випадку, варіанта до іншого або за роками).
Варіацію можливих наслідків інвестиційних рішень можна здійснити за допомогою двох величин: економічної віддачі та ймовірності одержання віддачі на рівні и-го періоду в майбутньому періоді. Нульова ймовірність означає неможливість одержання віддачі, одинична — обов’язкове одержання віддачі. Сума ймовірностей усіх можливих варіантів одержання віддачі дорівнює одиниці, тобто
Як приклад розглянемо підприємство, що спеціалізується на виробництві залізобетонних панелей для житлового будівництва. На підприємстві вважають, що результати минулих років є представницькими і бажають оцінити власне інвестиційне рішення на наступний рік.
Припустимо, що підприємство має таку рентабельність за роками:
З наведених даних бачимо, що віддача 12 % була тільки один раз за 10 років, тобто ймовірність цього випадку дорівнює 0,1; віддача 16 % зустрічається тричі, тобто ймовірність дорівнює 0,3; віддача 13 % — один раз, тобто ймовірність дорівнює 0,1; віддача 18 % — двічі, ймовірність дорівнює 0,2.
У загальному вигляді рівняння для визначення віддачі має такий вигляд:
Варіація вимірюється дисперсією (Д) — швидкістю коливання значень можливих варіантів навколо середнього значення.
Дисперсія — це ступінь розкиду (розсіювання):
Якщо з дисперсії добути квадратний корінь, то одержимо так зване стандартне відхилення. Що вище його значення, то ризикованішими є розглянуте рішення та вся діяльність підприємства. Такі розрахунки можна зробити для кожного рівня віддачі виходячи з уже відомих даних економічної рентабельності. Приклад розрахунку дисперсії наводиться в табл. 5.
Найнижчою (12 %) віддача була в 1983 р. Оскільки така віддача спостерігалася тільки раз за 10 років, то ймовірність цього випадку дорівнює 0,1. Ураховуючи, що середня віддача за 10 років дорівнює 17 %, відхилення віддачі за 1983 р. від середнього значення становить 5 % (17 - 12). Загалом за 10 років дисперсія дорівнює 6,8, а стандартне відхилення — 2,6 %. Це невисокий ступінь відхилення. Отже, наступного року очікується (з достатньою вірогідністю) рентабельність 19,6 % (17 + 2,6).
Варто враховувати, що статистичний метод потребує великої кількості вихідних даних, які не завжди має фінансовий менеджер. За відсутності інформації прийнятнішим є експертний метод.
Експертний метод вимірювання підприємницького ризику ґрунтується на узагальненні думок досвідчених підприємців або фахівців. При цьому експерти мають доповнювати власні оцінки даними про ймовірність виникнення різних розмірів втрат.
Інші реферати на тему «Державне регулювання економіки»:
Способи залучення інвестицій в економіку України
Способи і методи вибору інвестиційних рішень в умовах ризику
Основи інвестиційної діяльності
Розподіл прибутку підприємства на реінвестування розвитку виробництва і дивіденди
Особливості пенсійного забезпечення деяких категорій працівників освіти, медицини, соціального захисту, а також спортсменів та артистів
