Сторінка
2
Селективна відсипка за цією схемою можлива в тому випадку, якщо об'єм Vnn неродючих порід, що вкладаються у відвал з однієї точки стояння відвалоутворювача, не перевищує об'єм Унп потенційно родючих порід, що розробляються у даному блоці, тобто:
Загальний об'єм породи, що укладається з однієї стоянки відвалоутворювача:
де L2=0,017(Rр+е) - довжина дуги гребеня західки, відсипуваного відвалоутворювачем, м.
Об'єм неродючих порід, який укладається з однієї стоянки відвалоутворювача визначають за формулою:
a z - перевищення гребеня відвалу над рівнем планування, м.
Об'єм потенційно родючих порід, які складаються на їм2 поверхні, визначають за формулою:
Якщо прийняти hnn=2m, β =33°, то з попередніх формул одержимо:
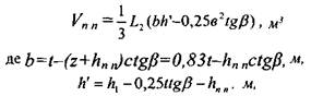
Об'єм потенційно родючих порід, відсипаний з однієї точки стояння відвалоутворювача, визначають за формулою:
Vnn=Voб-Vнn=0,00570(Rр+e)(0,15th1+0,16t2-3,76t+l,3h,-l,33)м3.
Об'єм потенційно родючих порід на площі робочого блоку роторного екскаватора визначають за формулою:
де L6 - довжина блоку роторного екскаватора, м.
Селективна відсипка потенційно родючих порід за цією схемою можлива за умови:
де h1 - висота верхнього підвиступу, м.
Схема 2 Відсилку порід у відвал проводять під час зворотнопоступального переміщення від валоутворювача (крок назад, два кроки вперед) (рис.3.10.).
Рис 3 10 Схема селективного укладання розкривних порід у відвал
під час зворотно-поступального переміщення відвалоутворювача
(за А К. Поліщуком, 1977) а положення на відвалі на початок розробки екскаваторного блоку; б те ж на кінець розробки екскаваторного блоку
Перед початком розробки нового блоку роторний екскаватор переміщується до забою на довжину блоку. В цей час відвалоутворювач відступає на один крок назад. Потенційно родючі породи укладаються у верхній частині передостаннього блоку відсипки. Після відсипки відвалу в даній точці стояння до проектної позначки відвалоутворювач рухається вперед на два кроки, і остання частина порід передового виступу укладається в нову західку.
Максимальний об'єм потенційно родючих порід, що відсипається з однієї точки стояння відвалоутворювача і забезпечує селективне укладання порід, визначають за формулою:
Якщо β=33° hnn=2м, то:
Об'єм потенційно родючих порід, що укладаються на їм2 поверхні відвалу, дорівнюватиме:
Застосування цієї схеми можливе за умови, що:
де с1 - відстань від нижньої бровки підсипуваного підвиступу до відвалоутворювача, м:
с0 допустимо небезпечна відстань між відвалоутворювачем і відсипуваним відвалом, м;
hmax - можлива максимальна за контурними особливостями відвалоутворювача висота верхнього підвиступу, м.
Необхідну товщину шару потенційно родючих порід можна відсипати за умови:
Схема 3. За цією схемою на верхньому виступі укладають неродючі породи спереду за рухом відвалоутворювача, а потенційно родючі породи - ззаду відвалоутворювача (рис.3.11.).
Рис. 3.11. Селективна відсипка потенційно родючих порід у верхній ярус відвалу (заА.К. Поліщуком, 1977). 1 - відвалоутворювач; 2 - конвеєр; 3 - потенційно родючі породи.
Переміщення відвалоутворювача поєднується з переміщенням роторного екскаватора. Розробку блоку починають у положенні розвантаженої консолі відвалоутворювача "назад". У цьому положенні укладають потенційно родючі породи. Після відсипки верхнього підвиступу до проектної позначки розвантажувальна консоль розвертається у положення "вперед", і відбувається відсипка неродючих порід. Висота укладки останньої повинна бути такою, щоб між розвантажувальною консоллю і гребенями відвалу зберігалася максимально безпечна відстань с, тобто щоб дотримувалась умова:
При цьому максимальний об'єм неродючих порід, який можна розмісі йти на 1 м відвальної західки, повинен дорівнювати.
а максимальний об’єм потенційно родючих порід, який необхідно укласти на їм відвалу для виконання умов рекультивації, визначають за формулою:
де Анп - максимально допустима ширина відвальної західки по неродючих породах, м.
Технологія селективної укладки потенційно родючих порід на екскаваторних відвалах
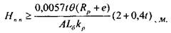
Ця система використовується, коли річний об'єм виймання потенційно родючих порід забезпечує нормальну відсипку ярусу, тобто коли:
де Н0'- висота верхнього ярусу відвалу, м;
В і В0 - річний фронт робіт відповідно в забої і на відвалі, м;
Н1 - висота передового виступу, м;
L3 і L0 - довжина фронту робіт відповідно передового виступу і верхнього ярусу відвалу.
Якщо Н'пп<Н1 то висота передового виступу повинна дорівнювати товщині потенційно родючого шару.
Селективне укладання потенційно родючих порід може проводитись двома способами. У першому випадку верхній ярус відсипають без розподілу на підвиступи. При цьому висота ярусу зменшується і визначається за формулою:
де Н0'- висота верхнього ярусу відвалу, м.
Інші реферати на тему «Географія фізична, геологія, геодезія»:
Геологія як наука і її місце як наука про Землю. Форми рельєфу створені тимчасовим русловим стоком. Стадії їх розвитку. Складання картосхеми густоти горизонталь, розчленування територій
Паливні корисні копалини: нафта, газ, вугілля, сланці, торф
Особливості формування долин лівих приток Дніпра в пост-гляціальних умовах
Оцінка ступеня забруднення важкими металами ґрунтів
Гірничо-планувальні роботи
