Сторінка
1
Принципи визначення товщини потенційно родючих порід під час селективної розробки родовищ
Потенційно родючими породами вважаються такі породи, які не містять шкідливих домішок і мають задовільні фізико-хімічні властивості.
Під час розробки таких порід дуже важливо правильно визначити їх товщину, яка б забезпечила високу продуктивність розкривних гірничих машин.
З технологічної точки зору, прийнята товщина шару потенційно родючих порід не повинна перевищувати максимально можливу для цього обладнання висоту виступу (відновлювану поверхню) шаром товщиною, не меншою мінімально необхідної для розвитку кореневої системи рослин.
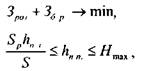
У математичній формі визначення раціональної товщини шару селективної розробки сприятливих для рослин порід можна записати у вигляді:
де Зроз - затрати на розробку розкривних порід (покрівлі), грн.;
Збр - затрати на біологічну рекультивацію, грн.;
Sр - площа, яка підлягає рекультивації, га;
hni - товщина селективно розроблюваних потенційно родючих порід, м;
hnn - максимально можлива висота забою для даного типу навантажувального обладнання, м;
S - площа потенційно родючих порід, розроблюваних окремим шаром, га.
де Зроз - затрати на розробку 1 м3 потенційно родючих порід, грн.;
Збр - затрати на біологічну рекультивацію 1га поверхні, грн.
Товщина шару, за якої Зроз+ Збр мінімальна, і буде раціональною.
Технологія селективної розробки й укладання потенційно родючих порід за без транспортною і транспортно-відвальною системами розробки родовищ
Потенційно родючі породи, як правило, залягають під ґрунтовим шаром і мають товщину від 4 до 10 м, тому є можливість розробляти їх селективно (пошарово), після чого використовувати для покриття відвалів з гіршими фізико-хімічними властивостями.
Селективну розробку й укладання потенційно родючих порід можна проводити за декількома схемами.
Схема 1. Товщина розкривних порід розробляється одним драглайном, розташованим на проміжному горизонті (рис.3.5.).
Рис. 3.5. Схема селективної розробки потенційно родючих порід з укладанням їх мім: гребенями (заА.К. Поліщуком, 1977).
За цією схемою породи нижнього підвиступу вкладають у відвал, як і за звичайною схемою робіт, а потенційно родючі породи (верхній підвиступ) - між гребенями. В цьому випадку відстань між суміжними гребенями на відвалі дорівнює ширині розкривної західки. Тоді максимально необхідна товщина потенційно родючих порід в забої Н'пп, товщина шару з потенційно родючих порід на відвалі hnn і ширина західки А повинні задовольняти умови:
де β - кут відкосу відвалу, градуси;
Кр - коефіцієнт розпушення породи у відвалі.
Схема 2. За цією схемою екскаватор розміщують на верхній площі нижнього підвиступу і потенційно родючі породи розвантажують на гребінь, який відсипаний з порід нижнього підвиступу (рис.3.6.).
Рис. 3.6. Схема селективної розробки потенційно родючих порід з укладанням їх на гребінь відвалу (за А.К. Поліщуком, 1977).
Рис. 3.7. Схема спареної роботи мехлопати і драглайна під час селективного формування відвалу (за А.К. Поліщуком, 1977).
Рис. 3.8. Схема селективного формування відвалів з тимчасовим складуванням потенційно родючих порід на робочому борту кар'єру (заА.К. Поліщуком, 1977).
Максимально необхідна товщина потенційно родючих порід у забої повинна відповідати таким умовам:
де Ηз - висота розкривного виступу, м.
Селективна розробка потенційно родючих порід можлива і за розміщення розкривного екскаватора на верхній площі виступу.
Схема 3. Формування відвалу здійснюють під час спареної роботи мехлопати і драглайна (рис.3.7.). Недоліком цієї схеми є те, що драглайни повинні мати значні лінійні параметри і не використовуватися на повну потужність.
Схема 4. Передбачає укладання потенційно родючих порід у відвал за умови попереднього складування їх на борту кар'єру (рис.3.8.). У цьому випадку на розкривному виступі використовують два драглайни. Перший драглайн з положення А розміщує потенційно родючі породи по всій довжині робочого борту кар'єру у тимчасовий відвал. Другий драглайн з великими лінійними параметрами із положення Б відробляє частину виступу верхнім черпанням (площа 1-2-3-4), створюючи передвідвал, а другу частину виступу - нижнім черпанням (площа 4-5-6-7), розкриваючи корисну копалину.
На розкривний пласт бульдозером переміщують потенційно родючі породи із тимчасового відвалу. При зворотному ході перший драглайн з положення В відробляє частину решти покрівлі (площа 6-7-1-8) і одночасно проводить переекскавацію породи із проміжного відвалу за віяльною схемою відсипки. Далі із того ж положення В драглайн перемішує потенційно родючі породи на поверхню і закінчує формування відвалу.
Параметри драглайна ЕШ-14/75 дозволяють формувати відвал і відробляти розкривний виступ окремими блоками товщиною до 20 м за ширини західки 35 м.
Схема 5. За цією схемою новий блок (частина західки, що відробляється з одного місця стояння екскаватора) починають відробляти роторним екскаватором з верхньої частини забою, де залягають потенційно родючі породи. Ця схема використовується за транспортно-відвальної системи розробки родовищ.
Технологія селективної розробки й укладання потенційно родючих порід обладнанням безперервної дії за транспортною системою розробки родовища
Селективна розробка й укладання потенційно родючих порід може здійснюватися за такими схемами.
Схема 1. Відсипка відвалу проводиться без суміщення операцій роторного екскаватора і відвалоутворювача (рис.3.9.).
Рис 3.9. Схема селективної відсипки відвалу без операції переміщення роторного екскаватора і відвалоутворювача (за А.К. Поліщуком, 1977).
а - положення на відвалі на початок розробки екскаваторного блоку; б - те ж на кінець розробки екскаваторного блоку.
Ця схема передбачає таку організацію робіт. Роторний екскаватор починає відробляти новий блок (знімання потенційно родючого шару) у положенні верхнього підвиступу відвалу. З цього положення відвалоутворювачем відсипають породу до проектної позначки. Потім відвалоутворювач переміщується в нове положення, з якого проводиться укладання породи до закінчення відробки екскаваторного блоку.
Інші реферати на тему «Географія фізична, геологія, геодезія»:
Планування та організація виконання комплексу топографо-геодезичних робіт при створенні планів в масштабі 1:2000 на Івано-Франківському об’єкті
Режим формування історичних паводків в українських Карпатах
Сучасний екологічний стан земельних ресурсів і першочергові завдання щодо їх відтворення
Управління земельними ресурсами в умовах реформування земельного ринку
Сільськогосподарська рекультивація земель
