Сторінка
14
Методика "Два будиночка"
Мета дослідження: визначити коло значущого спілкування дитини, особливості взаємин у групі, виявлення симпатій до членів групи.
Методика призначена для обстеження дітей 4 -7 років.
Проведення дослідження: Дослідження проводиться строго індивідуально. Дитині пропонується малюнок двох будинків, один з яких красивий, червоний, великий, а інший - маленький, чорний і непоказний.
Його просять уявити, що червоний будинок належить йому і туди можна запрошувати своїх друзів і всіх, кого він бажає. "Подумай, кого з хлопців твоєї групи ти б запросив до себе пожити, а кого поселив б подалі від себе, в білий дім". Кількість дитячих виборів не обмежується. Після закінчення бесіди дитині пропонується подумати, чи не забув він кого-небудь і чи не хоче поміняти когось місцями.
Аналіз результатів дослідження
Методика "Вибір у дії". Метою даної методики було визначити коло значущого спілкування дитини, особливості взаємин у групі, виявлення симпатій до членів групи. Результати обстеження дітей з порушеннями слуху (перша група) наводяться в таблиці 1.
|
№ п/п |
Хто вибирає |
Кого вибирають | ||||
|
1 |
2 |
3 |
4 |
5 | ||
|
1 |
Анастасія П. |
(1) |
2 | |||
|
2 |
Діана М. |
(1) |
2 | |||
|
3 |
Макар С. |
(1) | ||||
|
4 |
Максим В. |
(1) | ||||
|
5 |
Поліна З. |
1 |
2 |
3 | ||
Умовні позначення:
1 - перший вибір;
2 - другий вибір;
3 - третій вибір; () – взаємний вибір
Результати обстеження дітей, що мають збережений слух (друга група) наводяться в таблиці 2.
|
№ п/п |
Хто вибирає |
Кого вибирають | ||||
|
1 |
2 |
3 |
4 |
5 | ||
|
1 |
Аліна С. |
(1) |
2 |
3 | ||
|
2 |
Діана П. |
(1) |
3 |
2 | ||
|
3 |
Іван Н. |
3 |
(1) |
2 | ||
|
4 |
Микита Т. |
3 |
(1) |
2 | ||
|
5 |
Ольга Ч. |
2 |
1 |
3 | ||
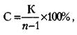
Згідно з кількістю отриманих предметів визначається соціометричний статус дитини в групі при допомогою наступної формули:
де С - статус дитини в групі, у системі відносин з однолітками; К - кількість привабливих предметів, отриманих дитиною від товаришів по групі; п - кількість дітей у тестувальній групі.
Оцінка результатів:
10 балів - показник С дитини дорівнює 100%.
8-9 балів - показник С знаходиться в межах від 80% до 99%.
6-7 балів - показник С розташовується в інтервалі від 60% до 79%.
4-5 балів - показник С знаходиться в межах від 40% до 59%.
2-3 бали - показник С розташовується в межах від 20% до 39%.
0-1 бал - показник С знаходиться в інтервалі від 0% до 19%.
Висновки про рівень розвитку:
10 балів - дуже високий.
8-9 балів - високий.
4-7 балів - середній.
2-3 бали - низький.
0-1 бал - дуже низький.
Перша група випробуваних: 4 випробуваних отримали від 4-7 балів, що свідчить про середній соціометричний статус дитини - 80%. 1 випробуваний отримав 2 бали, що свідчить про низький соціометричний статус - 20%.
Друга група випробуваних: 2 випробуваних отримали від 8-9 балів, що свідчить про високий рівень статусу дітей - 40%; 3 випробуваних отримали від 4 до 7 балів, що свідчить про середній рівень статусу дітей - 60%.
Методика "Два будиночка". Метою даної методики було визначити коло значущого спілкування дитини, особливості взаємин в групі, виявлення симпатій до членів групи. Результати обстеження дітей з порушеннями слуху (перша група) наводяться в таблиці 1.
|
№ п/п |
Хто вибирає |
Кого вибирають | ||||
|
1 |
2 |
3 |
4 |
5 | ||
|
1 |
Анастасія П. |
(+) |
[―] |
(+) | ||
|
2 |
Діана М. |
(+) |
― |
+ | ||
|
3 |
Макар С. |
― |
― |
(+) |
[―] | |
|
4 |
Максим В. |
[―] |
(+) |
[―] | ||
|
5 |
Поліна З. |
(+) |
[―] |
[―] | ||
Інші реферати на тему «Педагогіка, виховання»:
Асоціативний аналіз на уроках української літератури за матеріалами творів М. Воробйова
Прогресивна педагогіка в Росії на початку XX ст.
Розвиток бистроти у школярів середніх класів засобами тхеквондо
Розвиток умінь розв’язувати задач на пропорційне ділення у початковій школі
Вивчення теми "Прикметник" як засіб формування пізнавальної активності молодших школярів
