Сторінка
1
План
1. Загальне поняття пропозиції в мікроекономіці
2. Особливості цінової еластичності пропозиції
Використана література
1. Загальне поняття пропозиції в мікроекономіці
Пропозиція - це обсяг товарів, який виробники можуть і бажають виготовляти і продавати на ринку.
Пропозиція певного товару визначає взаємозв'язок між ринковою ціною і кількістю товару, що продається.
Між ціною і кількістю товару, що продається, існує пряма залежність, тобто чим вища ціна товару, тим більший обсяг товару, який буде виготовлений і запропонований до продажу, і навпаки.
Додатна залежність між ціною і обсягом товару, що пропонується до продажу, називається законом пропозиції.
Крива пропозиції (S) - це крива, що показує, який обсяг товару можуть та бажають виготовити та продати виробники за різними цінами в даний час. Ціна (незалежна змінна) відкладається на осі ординат, а пропозиція (залежна змінна) - на осі абсцис.
Крива пропозиції має додатний нахил. Це означає, що чим вища ціна товару, тим більший його обсяг буде запропонований до продажу, і навпаки.
Ринкова пропозиція — це пропозиція, що визначається як загальна сума всіх індивідуальних пропозицій.
Крива ринкової пропозиції (S) складається з сукупності обсягів товару, які виробляються і пропонуються до продажу всіма продавцями товару за відповідною ціною.
Ринкова крива пропозиції (S) складається з кривих індивідуальних пропозицій і може бути накреслена аналогічно кривій ринкового попиту (D).
Крива ринкової пропозиції.
Функція пропозиції може бути виражена рівнянням :
QS=f(P),
Де QS - обсяг пропозиції,
P – ціна товару.
Фактори, що впливають на пропозицію:
Нецінові фактори, що впливають на пропозицію:
· витрати виробництва;
· технічний прогрес,
· ціни споріднених товарів;
· організація ринку;
· стабільність законодавства та визначеність правового поля;
· специфічні фактори (погода, зміна моди, психологічна мотивація тощо);
· сподівання щодо майбутніх економічних умов.
Зміна обсягу пропозиції і пропозиції в цілому. Пропозиція товару визначається всією кривою пропозиції (S).
Переміщення кривої пропозиції (S) вправо означає збільшення пропозиції (S1), переміщення кривої пропозиції вліво означає її зменшення (S1).
Зміна пропозиції.
Переміщення кривої пропозиції (S) вправо S à S1 чи вліво S ß S2 означає, що пропозиція збільшується чи зменшується при тій же ціні. Якщо ж жоден з факторів, що впливають на пропозицію, не змінюється, а ціна товару змінюється, то відбувається переміщення по кривій пропозиції (S) вгору чи вниз (при цьому пропозиція товару не змінюється, а змінюється його обсяг).
Зміна обсягу пропозиції.
Фактори, що приводять до переміщення кривої пропозиції.
2. Особливості цінової еластичності пропозиції
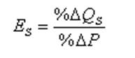
Якщо еластичність попиту описує реагування покупців на зміну ціни, то відповідно еластичність пропозиції описує реагування продавців на зміну ціни. Еластичність пропозиції (Еs) за ціною визначається відношенням відсотка зміни величини пропозиції товару до відсотка зміни його ціни:
Концепцію еластичності пропозиції за ціною застосовують переважно у формах дугової та точкової еластичності пропозиції.
Дугова та точкова еластичність
Дугова еластичність пропозиції характеризує спричинену зміною Ціни на товар у відсотках відсоткову зміну величини пропозиції на певній частині кривої пропозиції, тобто на дузі. Для визначення дугової еластичності пропозиції застосовуємо таку саму формулу, як для дугової еластичності попиту, з єдиною поправкою, що Q – це величина пропозиції, а не попиту:
Залежно від абсолютного значення дугової еластичності пропозиції розрізняють п'ять її видів.
Еластична пропозиція
нееластична пропозиція,
одинично-еластична пропозиція,
абсолютно нееластична пропозиція,
безмежно еластична пропозиція)
За точкової еластичності пропозиції спостерівгаємо три випадки:
ЕS>1 (крива S перетинає вісь ціни вище початку координат);
ЕS=1 (крива S проходить через початок коордтнат);
ЕS<1 (крива S перетинає вісь ціни нижче початку координат).
Випадок 1. Крива S1 перетинає вість ціни вище початку координат у точці Т1. Еластичність пропозиції в будь-якій точці кривої S1, наприклад у точці А1, визначається:
Оскільки ОР1>Р1Т1, то ЕS>1. Отже, пропозиція еластична як у точці А1, так і в будь-якій точці кривої S1.
Випадок 2. Крива S2 проходить через початок координат. Точка Т2 збігається з початком координат. Еластичність пропозиції в будь-якій точці кривої S2, наприклад в точці А2, визначається:
Оскільки ОР2=Р2Т2, то ЕS>1. Отже, пропозиція одинично-еластична як у точцці А2, так і в бьудь-якій точці кривої S2.
Випадок 3. Крива S3 перетинає вісь ціни нижче початку координат в точці Т3. Еластичність пропозиції в будь-якій точці кривої S3, наприклад у точці А3 визначається:
Оскільки ОР3<Р3Т3, то ЕS<1. Отже, пропозиція є нееластичною як у точці А3, так і в будь-якій точці кривої S3. Даний випадок є винятковим: маємо від’ємнн значення ціни. А це означає, що існують виробники, які готові пропонувати деяку кількість товару безплатно з метою привернути до себе споживача і швидше реалізувати товар.
Існує низка факторів еластичності пропозиції.
Фактори еластичності пропозиції
1. Час. Еластичність пропозиції зростає з плином часу Наприклад, коли ціна на товар підвищується, то виробники намагаються продати товару якомога більше. Але для цього потрібно розширити виробництво, що зазвичай вимагає часу. В періоді часу розрізняємо декілька ефектів:
А. Миттєвий ефект.
У перший день зміни ціни пропозиція абсолютно нееластична, бо продавці переважно не можуть за один день завезти на ринок партію готових товарів, що є на складах, не говорячи вже про розширення виробництва. Б. Тимчасовий ефект.
1 2
