Сторінка
1
У підприємницькій діяльності ризик пов'язується з фінансовими втратами, що стають неминучими в разі реалізації певних ризиків.
Усі види ризиків, властиві тим чи іншим цінним паперам, — відсотковий, кредитний, діловий, інфляційний, дострокового погашення, ліквідності, — в сукупності формують загальний ризик цього інструменту, який порівнюється з його дохідністю. Ризик полягає в тому, що очікування власника щодо рівня дохідності цінних паперів можуть не справдитись і якусь частину доходів буде втрачено. При цьому оцінюється очікуваний дохід, а сукупний ризик розглядається як невизначеність щодо можливості отримання цього доходу, тобто як рівень мінливості (варіабельності) доходу. Отже, дохідність портфеля, на яку сподівається його власник, є випадковою величиною, і тому його кількісна оцінка не може бути однозначною. У цілому вимірювання ризику фінансових інвестицій є багатоаспектною проблемою як з погляду методики аналізу, так і з позицій ефективного управління інвестиційним портфелем.
На практиці для визначення міри ризику використовуються різноманітні показники, які, в основному, репрезентовані статистичними величинами, такими як дисперсія, стандартне відхилення, коефіцієнти кореляції і коваріації. Ці характеристики цінного паперу показують, в якій мірі та з якою ймовірністю його фактична дохідність може відрізнятися від очікуваної. Величина ризику визначається на базі аналізу реальних даних про дохідність цінних паперів за попередні періоди за допомогою статистичних методів. Коротко охарактеризуємо основні статистичні показники ризиковості.
Найчастіше у процесі аналізу ризику цінного паперу використовують коефіцієнт β (бета). Для окремого цінного паперу β розраховують як відношення коваріації дохідності паперу та ринку в цілому до дисперсії дохідності ринку:
де β — бета цінних паперів; cov(P, R) — коваріація ціни цінного паперу Ρ та ринку R;oR — дисперсія ринку.
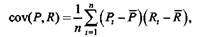
Коваріація змінних Ρ і R обчислюється за формулою:
де Р, R — середні значення ряду.
Коефіцієнт кореляції (рря)показує щільність залежності між двома рядами динаміки і розраховується за формулою
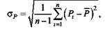
де σρ OR — стандартні відхилення дохідності відповідно цінного паперу та ринку.
Стандартне відхилення показує, наскільки широким є розрив між значеннями конкретного спостереження та середнім значенням ряду, і обчислюється за формулою
Стандартне відхилення дохідності ринку обчислюється аналогічно. Квадрат стандартного відхилення називається дисперсією.
Як бачимо, для розрахунку коефіцієнта β необхідно мати дані про динаміку ринкової дохідності цінного паперу. Як правило, таким показником вважають фондовий індекс, який користується найбільшою популярністю на конкретному ринку. На міжнародних ринках найчастіше використовують індекс Standard & Poor's, побудований на
основі динаміки цін на акції п'ятисот найбільших компаній (S&P 500 index), на ринках Японії — індекс Nikkey.
Рішення про доцільність інвестування коштів у фінансові активи підприємство має приймати на основі результатів аналізу співвідношення дохідності та ризику, в результаті якого визначається, чи достатня очікувана дохідність цінного паперу для компенсації пов'язаного з ним ризику. Але найчастіше інвестор працює не з одним, а з кількома інвестиційними цінними паперами, які в сукупності формують портфель. Властивості портфеля відрізняються від властивостей окремих цінних паперів, зокрема щодо визначення рівня ризику.
Теорію вибору ефективного портфеля фінансових інвестицій, яку вперше розробив Г. Марковіц у 50-х роках минулого століття, згодом суттєво вдосконалили Р. Трейнор, Дж. Лінтнер, У. Шарп та інші. Розглянемо основні її положення.
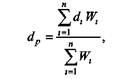
Дохідність портфеля є адитивною величиною і дорівнює сумі доходів, що їх генерують окремі цінні папери. Середня ставка дохідності портфеля (dp) визначається як середньозважена величина дохідності фінансових інструментів, що входять до його складу:
де d, — дохідність г'-го виду цінних паперів (і = !, .,«); W, — обсяг цінних паперів г'-го виду в портфелі; η — кількість видів цінних паперів у портфелі.
На відміну від дохідності ризик портфеля не обов'язково вимірюється середньозваженою величиною сукупності ризиків окремих портфельних інвестицій, оскільки різні види цінних паперів по-різному реагують на зміну кон'юнктури ринку. Стандартні відхилення дохідності цінних паперів у багатьох випадках можуть взаємно погашатися, результатом чого стає зниження загального ризику портфеля за збереження його дохідності. Отже, ризик портфеля значною мірою залежатиме від кількості видів цінних паперів, які формують портфель, та від того, наскільки і в якому напрямку змінюється їх дохідність за зміни кон'юнктури ринку.
У процесі аналізу портфеля заведено виокремлювати дві складові сукупного ризику: систематичний та несистематичний ризики.
Систематичний ризик є частиною загального ризику системи, залежить від стану економіки в цілому і зумовлюється макроекономічни-ми чинниками, такими, як динаміка інвестицій, обсяги зовнішньої торгівлі, зміни податкової політики, стан платіжного балансу, а тому він наявний у діяльності всіх суб'єктів господарського процесу. Систематичний ризик називають недиверсифікованим, або ринковим, оскільки його не можна зменшити диверсифікацією (включенням до портфеля різних за характеристиками цінних паперів). Отже, дивер-сифікований портфель характеризується тільки систематичним ризиком, який вимірюють за допомогою коефіцієнта бета (β).
Несистематичний ризик пов'язано з невизначеністю діяльності конкретного емітента цінних паперів. Інвестор має змогу уникнути цього ризику, сформувавши ефективний портфель, тобто такий набір цінних паперів, який уможливлює взаємне компенсування коливання дохідності різних інструментів, коли недостатня дохідність одного цінного паперу компенсується підвищеною дохідністю іншого. Для зниження несистематичного ризику і застосовується метод диверсифікації. Ризик недиверсифікованого портфеля вимірюється стандартним відхиленням.
1 2
