Сторінка
1
Акція — це цінний папір, що засвідчує право власника на участь у власному капіталі підприємства. Акції належать до класу пайових цінних паперів, випускаються недержавними організаціями і не мають обмеженого терміну обігу. Номінальна вартість акції може бути різною, але здебільшого емітенти віддають перевагу випуску акцій невеликого номіналу, що дає змогу розширити ринок та підвищити ліквідність таких акцій. Як правило, номінал акції не відображає її реальної вартості, тому для аналізу дохідності акцій використовують курсову, тобто поточну ринкову ціну.
Курсова ціна акцій залежить від різноманітних чинників: величини та динаміки дивідендів, загальної кон'юнктури ринку, ринкової норми прибутку. На курс акцій можуть суттєво вплинути управлінські рішення щодо реструктуризації компанії-емітента. Так, приміром, рішення про злиття компаній здебільшого значно підвищують курсову ціну їх акцій. Хоч курсову ціну акцій можна визначити різними способами, але всі вони базуються на одному засадному принципі, який полягає в порівнюванні генерованих цим цінним папером доходів з ринковою нормою прибутку. Показником дохідності може бути або рівень дивідендів, або величина чистого прибутку в розрахунку на одну акцію. Другий показник використовують тоді, коли дивіденди з певних причин не виплачують, а одержаний прибуток повністю реінвестують, скажімо, у процесі становлення, розширення чи реорганізації акціонерного підприємства.
Прийняття управлінських рішень щодо доцільності придбання акції базується на результатах порівняльного аналізу її поточної ринкової ціни з теоретичною (внутрішньою) вартістю. Внутрішню вартість акції можна розрахувати різними методами, але найпоширенішою залишається вже відома нам модель оцінки майбутніх надходжень (11.4) яка трансформується залежно від прогнозованої динаміки виплати дивідендів на акції.
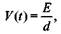
Акції з постійними (сталими) дивідендами. Якщо сума дивідендів, які виплачують власнику акції, є сталою величиною, то базова модель (11.4) перетворюється на формулу суми складових геометричної прогресії, що постійно спадає:
де Е — грошовий потік у вигляді дивідендів; d— середньорічна (або інша прийнятна) норма дохідності. Аналогічно розраховується вартість безстрокових облігацій.
Приклад 6
Проаналізуємо доцільність придбання підприємством акцій відкритого акціонерного товариства за ринковою ціною 200 грн та щорічною виплатою дивідендів 35 грн, якщо середньоринкова норма прибутку становить 25 %. Розрахуємо теоретичну вартість акції:
V(t) = 35 : 0,25 = 140 грн.
Отже, внутрішня вартість цих акцій (140 грн) є значно нижчою проти їх ринкової ціни (200 грн), і підприємству не рекомендується купувати ці акції, оскільки їх ціну завищено.
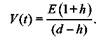
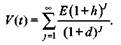
Акції з дивідендами, що рівномірно зростають. Якщо дивіденди, що виплачують власникам акцій, постійно та рівномірно зростають, то на внутрішню вартість таких цінних паперів впливатимуть базова
величина дивідендів (Е) та темпи їх приросту (А). Базова модель (11.4) в цьому випадку матиме вигляд:
Після певних математичних перетворень одержують формулу, відому як модель М. Гордона, яка є справедливою за умови, коли се-редньоринкова норма прибутку вища за темпи приросту дивідендів, тобто за d > h:
Повертаючись до прикладу 6, проаналізуємо привабливість акцій, якщо щорічний темп приросту дивідендів становитиме 10 %.
Отже, в такому разі придбання акцій за ринковою ціною 200 грн треба визнати вигідним вкладенням коштів, оскільки внутрішня вартість таких цінних паперів (256,7 грн) є значно вищою за поточний курс.
Акції зі змінним темпом приросту дивідендів. Якщо ні величина дивідендів, ні темпи їх приросту не залишаються постійними упродовж періоду, котрий аналізується, то застосовуються комбіновані прийоми, і процедура розрахунків ускладнюється. Суть підходу полягає у тому, що загальний період поділяють на кілька часових інтервалів, у межах яких або дивіденди можна вважати сталими, і тоді розраховують внутрішню вартість за формулою (11.9), або постійними є темпи їх приросту, що дає змогу використати для аналізу формулу (11.10). Внутрішню вартість акції визначають як суму вартостей, розрахованих для кожного періоду.
Норми оподаткування доходів від операцій з цінними паперами значною мірою визначають привабливість цього фінансового інструменту для інвесторів, оскільки для них більше важить величина доходів на цінні папери після виплати податків, ніж до цього.
Здебільшого доходи на цінні папери оподатковуються за загальними правилами та ставками. Але подекуди для заохочування вкладень у певні види цінних паперів (приміром, у муніципальні облігації) доходи від операцій з такими інструментами не оподатковуються або норми оподаткування встановлюють на рівні нижчому, ніж загальний. В Україні в період випуску в обіг облігацій внутрішньої державної позики (ОВДП) доходи на ці облігації, одержані на первинному ринку, не оподатковувалися. Доходи від перепродажу ОВДП, тобто одержані на вторинному ринку, підлягали оподаткуванню за загальними ставками. Це стимулювало інвесторів до вкладення значних коштів у ОВДП, але водночас стримувало розвиток вторинного ринку. Нині згідно з чинним законодавством України витрати підприємства на купівлю цінних паперів розглядають як елемент валових витрат, а всі доходи, одержані у вигляді дивідендів від акцій, паїв, часток, погашення номінальної вартості цінного паперу та інших вкладень, включають до складу валових доходів і оподатковують за загальною ставкою податку на прибуток.
