Сторінка
4
Використовуваний доход (ВД) розраховується шляхом зменшення показника особистого доходу на суму прибуткового податку з громадян та деяких неподаткових платежів державі:
ВД = ОД — Прибутковий податок — Неподаткові платежі державі. Це доход, який залишається у розпорядженні домогосподарств. Він використовується на споживання і заощадження.
5. Реальні та номінальні величини. Цінові індекси
Номінальний ВВП — це обсяг виробництва, який вимірюється в поточних
цінах, тобто в цінах, що існують на момент виробництва:
де q. - обсяг виробництва ї'-го товару в поточному році; - ціна і-го товару в поточному році.
Таким чином, на величину номінального ВВП впливають два процеси: 1) динаміка обсягу виробництва;
2) динаміка рівня цін.
Реальний ВВП — це обсяг виробництва, який вимірюється в сталих (незмінних, базових) цінах, тобто на величину цього показника впливає лише зміна обсягів виробництва:
де
р0 - ціна г'-го товару в оазисному році.
Враховуючи описане, реальний ВВП можна розрахувати шляхом коригування номінального ВВП на індекс цін
Звідси випливає, що
Якщо величина індексу цін менша за одиницю (/ < 1), то відбувається коригування номінального ВВП у бік збільшення, яке називається гнфлю-ванням. Якщо ж величина індексу цін більша за одиницю (/ >1), то відбувається дефлювання - коригування номінального ВВП у оік зменшення (мал. 2.1).
Для здійснення названих коригувань використовують цінові індекси Ла-спейреса, Пааше і Фішера (цінові дефлятори).
Індекс Ласпейреса (або аґреґатний індекс цін) показує, як змінюються ціни за два періоди, що порівнюються, якщо структура виробленого ВВП залишається незмінною. Вагами в цьому випадку є товарна структура виробництва базисного періоду, а тому зміни у виробництві та споживанні, пов'язані з науково-технічним прогресом, не враховуються.
Індекс має вигляд:
де
— ціни відповідно в по точному і базисному періодах; q0 — обсяг виробництва в базисному періоді.
Цей індекс дещо завищує темп зростання рівня цін, оскільки при його розрахунку нехтують тим фактом, що із зміною цін, безперечно, відбуваються зміни в структурі споживчих товарів.
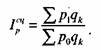
Індекс Ласпейреса, розрахований для фіксованого "кошика" споживчих товарів і послуг (qk), називають індексом споживчих цін:
Фіксований споживчий кошик складається приблизно із 300 найменувань товарів і послуг, які купуються типовим міським мешканцем. Індекс побудовано так, що ціна кошика у базисному періоді береться за 100%, а тому значення індексу вказує на те, на скільки відсотків змінилася ціна товарів— компонентів споживчого кошика у поточному періоді в порівнянні з попереднім.
Індекс споживчих цін розраховується щомісячно, є оперативним і найпоширенішим показником рівня інфляції.
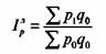
Індекс Паагие частково усуває обмеженість індексу Ласпейреса, оскільки вагами в даному випадку є товарна структура виробництва поточного року. Індекс має вигляд:
де
- обсяг виробництва в поточному періоді.
Індекс Пааше, розрахований для сукупності товарів і послуг, що входять до складу ВВП, називається дефлятором ВВП:
Оскільки
на цей індекс впливають структурні зрушення, які компенсують підвищення цін на окремі товари, вважається, що дефлятор ВВП недооцінює зростання загального рівня цін.
Безперечно, що індекс споживчих цін та дефлятор ВВП дають різну характеристику зміни рівня цін. Це пояснюється тим, що між цими двома індексами існує три суттєві відмінності:
• дефлятор ВВП відображає зміну цін на всі вироблені товари та надані послуги, а-індекс споживчих цін — тільки на ті товари, що входять до складу споживчого кошика;
• дефлятор ВВП не відображає зміну цін на імпортні товари, оскільки імпорт не входить до складу ВВП. Але до споживчого кошика входять імпортні товари, тому в індексі споживчих цін знаходить відображення зміна цін і на імпортні товари;
• третя, найсуттєвіша відмінність полягає в тому, що дефлятор ВВП є
поточно зваженим (індекс Пааше), а індекс споживчих цін є базисно
зваженим (індекс Ласпейреса).
Проте на практиці відмінність між цими двома індексами незначна, і вони обидва досить добре відображають тенденцію та швидкість зміни цін. В залежності від мети дослідження завжди можна підібрати той індекс, який найбільшою мірою відповідає поставленому завданню.
Індекс Фішера, як середнє геометричне значення індексів Ласпейреса і Пааше, усуває їхню обмеженість:
6. ВВП та економічний добробут
Реальний ВВП на душу населення використовується на практиці як най-обґрунтованіша характеристика економічного добробуту. Проте в такій ролі він має значні недоліки.
По-перше, від величини ВВП варто було б відняти вартісну оцінку так званих негативных факторів (забруднення повітря і води, шум, перенаселення тощо), які пов'язані з його виробництвом і, зрозуміло, завищують рівень нашого матеріального добробуту. Скажімо, виробник забруднює річку, держава витрачає кошти на її очищення, що збільшує показник ВВП, проте вартість забруднення не вираховується.
Інші реферати на тему «Макроекономіка»:
Економічне зростання
Макроекономічна нестабільність: цикли ділової активності, безробіття, інфляція
Поняття трудових ресурсів та праці. зведений баланс трудових ресурсів, його зміст, призначення. основні показники та їх обчислення. баланс ринку праці
Управління державним боргом
Планування темпів, структури та пропорцій економіки України в умовах її реформування
