Сторінка
2
Із зростанням державних закупівель сукупні витрати збільшуються.
Рис 7 2 Вплив державних закупівель на рівноважний ВВП (за моделлю "витрати — випуск")
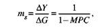
Мультиплікатор державних витрат дорівнює:
де МРС — частина приросту доходу, що її домогосподарства спрямовують на споживання.
Якщо планові витрати враховують вплив податкових надходжень Τ = t · Υ, мультиплікатор державних витрат (складний мультиплікатор) відображує залежність автоматичних податкових вилучень від зміни ВВП і має вигляд:
де t — гранична ставка оподаткування.
Зменшення податків на AT (рис. 7.3) збільшує використовуваний дохід Y'= Y-Тна величину AT і споживання на величину МРС · AT. Сукупні витрати зростуть. Пряма планових витрат переміститься вгору на МРС · AT, рівновага переміститься з точки А у точку В.
Зменшення податків також створює мультиплікативний ефект на дохід. Сукупний ефект для доходу під впливом зміни податків дорівнює:
Аналіз мультиплікаторів державних витрат та податків дає можливість сформулювати такі теореми.
1. Якщо державні витрати і податкові надходження змінюються на одну й ту саму величину, то й рівноважний рівень виробництва змінюється на ту саму величину.
Цей мультиплікатор називають мультиплікатором збалансованого бюджету і дорівнює він одиниці:
mb= 1.
Рис 7 3 Вплив податків на рівноважний ВВП (за моделлю "витрати — випуск")
Наприклад, AG = 20 млрд евро, AT = 20 млрд евро.
Δ7 = т AG + т(АТ= 20 (m + mt) = 20 · 1 = 20 млрд евро;
2. Ефект мультиплікатора від скорочення податків слабший, ніж при збільшенні державних витрат:
Отже, державні витрати відчутніше впливають на величину доходу і споживання порівняно зі зміною податків. Ця різниця і визначає вибір заходів у бюджетно-податковій політиці.
Фіскальна політика держави використовує заходи, які стосуються державних закупок G і чистих податків Т.
Але практично чисті податки можуть змінюватись автоматично, без спеціальних державних рішень. Це пояснюється тим, що більшість податків залежать від доходу і тому змінюються пропорційно до зміни ВВП. Наприклад, прибутковий податок з громадян, податок на прибутки підприємств, податок на додану вартість, акцизний збір, відрахування у фонди.
Чисті податки, які змінюються автоматично залежно від зміни ВВП, називають автоматичними чистими податками.
Автоматична фіскальна політика — це фіскальна політика, за якої бюджетний дефіцит та бюджетний надлишок виникають автоматично, внаслідок дії автоматичних стабілізаторів. Автоматичний ("вбудований стабілізатор") — механізм, який дозволяє зменшити циклічні коливання в економіці без проведення спеціальної економічної політики.
Якщо податкові надходження коливаються у тому самому напрямку, що й ВВП, то дефіцити, які зазвичай автоматично з'являються під час спадів, допомагають подолати спад. І навпаки — бюджетні надлишки, які мають тенденцію автоматично з'являтися під час економічного піднесення, сприятимуть подоланню можливої інфляції.
Дискреційна фіскальна політика використовується державою для активної протидії циклічним коливанням. Для стимулювання сукупного попиту в період економічного спаду уряд цілеспрямовано створює дефіцит державного бюджету, збільшуючи державні витрати або знижуючи податки. У період піднесення цілеспрямовано створюється бюджетний надлишок.
Економічний цикл можна характеризувати двома типами фіскальної політики: стимулюючою та стримуючою.
Стимулююча фіскальна політика — це бюджетно-податкова політика, спрямована на збільшення державних витрат та скорочення податків з метою розширення сукупного попиту в економіці у період спаду.
Стримуюча фіскальна політика — це бюджетно-податкова політика, що має на меті скорочення державних видатків та збільшення податків для стабілізації економіки в умовах інфляційного надлишкового сукупного попиту в період пожвавлення.
Бюджетна політика держави
Бюджет — це грошове вираження збалансованого кошторису доходів та видатків за певний період.
Фактичний бюджет — реальні видатки, надходження і дефіцити за певний період.
Структурний бюджет (бюджет повної зайнятості) відображає, якими мають бути урядові видатки, надходження і дефіцити, якщо економіка функціонує за потенційного обсягу виробництва.
Зміна бюджету повної зайнятості показує напрям, у якому фіскальна політика впливатиме на зміну сукупного попиту в економіці.
Циклічний бюджет — це фактичний бюджет за відрахуванням структурного бюджету.
Циклічний бюджет відображає вплив економічного циклу на державний бюджет, тобто показує, яким чином фаза економічного циклу впливає на доходи, видатки і сальдо бюджету.
Держбюджет може бути нормальним, коли видатки дорівнюють надходженням, та дефіцитним, коли видатки перевищують доходи. Дефіцит вважається безпечним для економіки, якщо він перебуває на рівні 2-3 % від ВВП.
Зменшити дефіцит бюджету можна такими заходами: 1) переходом від фінансування до кредитування; 2) зниженням витрат на управління державою; 3) зміною системи оподаткування; 4) ліквідацією дотацій збитковим підприємствам; 5) конверсією; 6) підвищенням ролі місцевих бюджетів.
Державний борг є нагромадженою сумою позичених урядом коштів для фінансування дефіцитів. Збільшення державного боргу протягом певного року дорівнює дефіциту бюджету.
Внутрішній державний борг — це заборгованість держави перед громадянами.
Зовнішній борг — заборгованість держави перед громадянами та організаціями інших країн.
Управління державним боргом здійснюється через сукупність заходів держави, пов'язаних із вивченням кон'юнктури ринку позичкових капіталів, випуском нових позик, з виплатою відсотків по позиках, проведенням конверсій та консолідацій позик, погашенням раніше випущених позик, термін дії яких закінчився.
Список використаної та рекомендованої літератури
1. Агапова Τ. Α., Серегина С. Φ. Макроэкономика: Учебник / Под общ. ред. А. В. Сидоровича. — Μ.: Дело и сервис, 2000. — Гл. 6.
2. Державне регулювання економіки: Навч. посіб. / С. Μ. Чистов, А. Є. Никифоров та ін. — К.: Вид-во КНЕУ, 2000.
Інші реферати на тему «Макроекономіка»:
Ефект акселератора в механізмі циклічного коливання. Вплив акселератора на нестабільність економіки
Поняття трудових ресурсів та праці. зведений баланс трудових ресурсів, його зміст, призначення. основні показники та їх обчислення. баланс ринку праці
Ринок праці та соціальна політика
Валовий внутрішній продукт та інші основні макроекономічні показники
Споживання. заощадження. інвестиції
