Сторінка
1
Зміст
1. Крива товарного ринку
2. Крива грошового ринку
3. Рівновага в моделі
4. Фіскальна та монетарна політика в моделі
Список використаної та рекомендованої літератури
Кейнсіанська модель "75* — LM" відображує одночасну рівновагу на товарному і грошовому ринках. Модель була запропонована Дж. Хіксом.
Основні умови моделі.
1. Грунтується на сукупному попиті.
2. Свідчить про існування неповної зайнятості.
3. Інвестиції є функцією відсоткової ставки.
4. Будується для короткострокового періоду. Рівень цін є постійним.
Історична довідка. Перший варіант моделі, що належить Джо-нові Хіксу, з'явився через рік після виходу "Загальної теорії" Дж. М. Кейнса як інтерпретація теоретичних основ учення Кейнса. Крива IS у Хікса — 5*7, крива LM — L. Не враховувався ринок праці. Він з'явився пізніше завдяки рівнянню і графіку рівноваги на ринку праці Елвіна Хансена. Тому другий варіант моделі має назву Хікса — Хансена.
Модель має дві складові: крива 75* та крива LM.
Крива 75* (інвестиції, Investment — заощадження, Save) відображує умови рівноваги між попитом та пропозицією на ринку товарів та послуг.
Крива LM (ліквідність, Liquidity — гроші, Money) відображує умови рівноваги між попитом на запаси грошових коштів і пропозицією грошей.
Крива товарного ринку
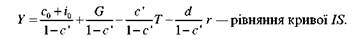
Крива 75* являє собою геометричне місце точок, що характеризує усі комбінації доходу та відсоткової ставки, які одночасно задовольняють умови тотожності кейнсіанської моделі товарного ринку. В усіх точках кривої 75* виконується умова рівноваги попиту та пропозиції, інвестицій та заощаджень. Назва кривої відображує цю рівність. Графічне виведення кривої S подано на рис. 9.1.
Рис 9 1 Виведення кривої товарного ринку
а — функція інвестицій: підвищення відсоткової ставки від r j до г2 зменшує планові інвестиції з І(г^) до І(г^;
6 — "кейнсіанський хрест": зменшення планових інвестицій від 7(rj) до 7(г2) зсуває криву планових витрат вниз, що зменшує дохід від YI до Y2;
в — крива IS: підсумок залежності між відсотковою ставкою і доходом. Із зростанням відсоткової ставки дохід зменшується.
Алгебраїчне крива IS виводиться так.
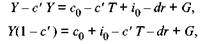
Кейнсіанська модель товарного ринку: загальна умова рівноваги
AD=Y=C + I+G. Функція споживання, інвестицій та державних витрат
де с' = Μ PC— гранична схильність до споживання; d— чутливість інвестицій до відсоткової ставки; CQ, /0 — автономні споживання та інвестиції.
Підставляючи функції споживання інвестицій та державних витрат, одержимо
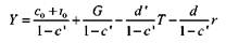
Розв'яжемо рівняння відносно Y:
Коефіцієнт d І (1 - с') характеризує кут нахилу кривої IS. Знак "-" означає обернену залежність між відсотковою ставкою та доходом.
Зсув кривої визначають мультиплікатори державних витрат т = = 1 / (1 - с') та податків т{ = - с'І (1 - с'). Якщо гранична схильність до споживання зростає, зростають мультиплікатори та значно зсувається крива IS, а отже, зростає і дохід.
Крива товарного ринку поділяє площину на дві частини: вище кривої IS — пропозиція товару перевищує попит на товар, отже на ринку — товарний надлишок; нижче кривої IS має місце товарний дефіцит.
Крива грошового ринку
Графічне виведення кривої LM зображено на рис. 9.2.
Рис 9 2 Виведення кривої грошового ринку
Крива LM відображує усі комбінації доходу та відсоткової ставки, які виникають при рівновазі на ринку грошей. В усіх точках кривої LM попит на гроші дорівнює їх пропозиції.
а — ринок реальних грошових коштів. За моделлю грошового ринку у короткостроковому періоді пропозиція грошей є фіксованою величиною, рівень цін не змінюється. ΜΙΡ = const. Попит на гроші є оберненою функцією відсоткової ставки для даного рівня доходу. Часткова рівновага на ринку грошей виникає, коли ΜΙΡ = L (г, У), і визначає рівноважну відсоткову ставку.
Однак попит на реальні грошові залишки визначається, крім відсоткової ставки, і обсягом доходу в економіці. При зростанні доходу попит на гроші зростає, крива L(r, У) зсувається праворуч. Для врівноваження грошового ринку відсоткова ставка також зростає.
6 — крива LM. Із зростанням доходу відсоткова ставка зростає. Крива LM — це графічна інтерпретація залежності між доходом і відсотковою ставкою.
Крива LM поділяє площину на дві частини: у точках, що вищі за криву, пропозиція грошей перевищує попит на них, нижче кривої — пропозиція грошей менша за попит на них.
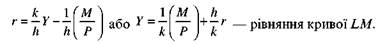
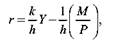
Алгебраїчне виведення кривої грошового ринку.
За умовою рівноваги грошового ринку: ΜΙΡ = L(r, У), або ΜΙΡ = = k Υ - hr, де Υ — дохід, г — відсоткова ставка, k — чутливість попиту на гроші за відсотковою ставкою.
Рівняння кривої LM одержимо з рівняння рівноваги відносно г або 7:
Кут нахилу кривої LM визначає коефіцієнт k I h. Із зростанням пропозиції грошей Μ або зниженням рівня цін Ρ крива LM зсувається праворуч.
Рівновага в моделі
Рівновага в економіці визначається сполученням кривих IS та LM (рис. 9.3). Крива IS визначає варіанти співвідношень доходу Υ та відсоткової ставки г, які відповідають рівновазі на товарному ринку. Крива LM відображає можливі комбінації доходу і відсоткової ставки, які відповідають рівновазі на грошовому ринку. Поєднання двох кривих визначає єдину комбінацію доходу Υ та відсоткової ставки г.
Рис 9 3 Рівновага в моделі "IS — LM"
Підставивши в рівняння кривої IS
рівняння кривої LM у вигляді залежності відсоткової ставки від доходу
1 2
Інші реферати на тему «Макроекономіка»:
Безробіття як наслідок порушення макроекономічної рівноваги
Безробіття, як економічне явище, втрати від безробіття, безробіття у різних країнах
Модель економічного зростання Роберта Солоу
Поняття трудових ресурсів та праці. зведений баланс трудових ресурсів, його зміст, призначення. основні показники та їх обчислення. баланс ринку праці
Валовий внутрішній продукт та інші показники. Дефлятор ВВП
