Сторінка
2
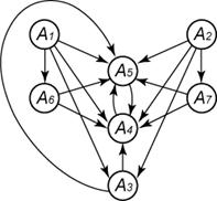
За допомогою графа міжавтоманих зв’язків моделі можна простежити взаємозв’язки автоматів (рис. 1), а матриця алфавітів надає уявлення про вхідні, внутрішні й вихідні алфавіти системи.
Рис. 1. Граф міжавтоматних зв’язків для моделі прогнозування валютного курсу на підставі попиту-пропозиції й попиту-обсягу продажу валюти
|
A1 |
A2 |
A3 |
A4 |
A5 |
A6 |
A7 | |
|
A1 |
R |
Æ |
R |
D |
R |
R |
Æ |
|
A2 |
Æ |
R |
R |
D |
R |
Æ |
R |
|
A3 |
Æ |
Æ |
R+ |
R+ |
R+ |
Æ |
Æ |
|
A4 |
Æ |
Æ |
Æ |
R+ |
R+ |
Æ |
Æ |
|
A5 |
Æ |
Æ |
Æ |
R+ |
R+ |
Æ |
Æ |
|
A6 |
Æ |
Æ |
Æ |
D |
D |
R |
Æ |
|
A7 |
Æ |
Æ |
Æ |
D |
D |
Æ |
R |
Зробимо детальний опис основних автоматів.
Автомат А3. Внутрішній стан цього автомата обчислюється відповідно до регресійної залежності між валютним курсом і різницею між попитом та пропозицією валюти, а також попитом й обсягом продажу валюти.
Автомат А4. Як видно з побудови внутрішніх сигналів x1(t) і x2(t), вони не можуть приймати одиничне значення одночасно, це необхідно робити виходячи з економічного змісту цих сигналів, адже не можна одночасно купити й продати ту саму валюту. Тому, коли наступає момент купівлі валюти (x1(t ) = 1), у цей момент часу не буде сигналу продажу (тобто x2(t) = 0), а тоді гроші комерційного банку з рахунків у національній валюті перейдуть на рахунки в іноземній валюті, і величина коштів у національній валюті стане нульовою, що випливає з формули внутрішнього стану цього автомата при підстановці в неї x1(t) = 1 й x2(t) = 0. Якщо в деякий момент часу відбувся продаж валюти (x1(t) = 0, x2(t) = 1), то рахунок у національній валюті поповниться на величину проданої валюти за поточним курсом, тобто на величину a5(t)(a0+a1а1(t)+a2а2(t)). Коли ж не буде відбуватися ні купівля, ні продаж валюти, то значення внутрішнього стану цього автомата залишиться незмінним.
Аналогічні міркування використані і для автомата А5.
Розглянемо умовний приклад реалізації моделі.
Початкові дані моделі в цьому випадку задаються так:
– вектор початкових станів – (3,094; – 0,494; 36,186; 11233,689; 0; 5,003; -2,409);
– система розподілів незалежних випадкових величин:
x – випадкова величина, розподілена за нормальним законом розподілу з параметрами т = 0, s2= 5;
h – випадкова величина, розподілена за нормальним законом розподілу з параметрами т = – 1, s2= 3.
Константи для рівняння регресії виберемо такі: a0= 36, a1= 0,055, a2 = 0,037.
У такий спосіб завдання моделювання зводиться до того, щоб визначити, наскільки зміниться капітал комерційного банку при початковому капіталі в 11234 у.о., а також – як себе буде вести курс іноземної валюти. Результати цього моделювання протягом проміжку Т = 30 подані в таблиці:
|
Час |
A1 |
A2 |
A3 |
A4 |
A5 |
A6 |
A7 |
X1 |
X2 |
|
0 |
3,094 |
– 0,469 |
36,186 |
11233,689 |
0 |
5,003 |
–2,409 |
0 |
0 |
|
1 |
– 2,156 |
– 1,474 |
36,153 |
11233,689 |
0 |
3,094 |
–0,469 |
0 |
0 |
|
2 |
– 1,251 |
– 4,194 |
35,827 |
11233,689 |
0 |
– 2,156 |
–1,474 |
0 |
0 |
|
3 |
8,283 |
0,271 |
35,776 |
11233,689 |
0 |
– 1,251 |
–4,194 |
1 |
0 |
|
4 |
4,635 |
– 2,117 |
36,466 |
0 |
314,000 |
8,283 |
0,271 |
0 |
0 |
|
5 |
11,945 |
0,558 |
36,177 |
0 |
314,000 |
4,635 |
–2,117 |
0 |
0 |
|
6 |
– 1,963 |
– 2,446 |
36,678 |
0 |
314,000 |
11,945 |
0,558 |
0 |
1 |
|
7 |
– 0,347 |
– 1,636 |
35,802 |
11516,786 |
0 |
– 1,963 |
–2,446 |
0 |
0 |
|
8 |
– 4,812 |
5,104 |
35,920 |
11516,786 |
0 |
– 0,347 |
–1,636 |
0 |
0 |
|
9 |
4,924 |
– 1,594 |
35,924 |
11516,786 |
0 |
– 4,812 |
5,104 |
0 |
0 |
|
10 |
– 6,235 |
2,808 |
36,212 |
11516,786 |
0 |
4,924 |
–1,594 |
0 |
0 |
|
11 |
1,471 |
– 2,356 |
35,761 |
11516,786 |
0 |
– 6,235 |
2,808 |
0 |
0 |
|
12 |
0,392 |
– 2,565 |
35,994 |
11516,786 |
0 |
1,471 |
–2,356 |
0 |
0 |
|
13 |
5,703 |
– 4,219 |
35,927 |
11516,786 |
0 |
0,392 |
–2,565 |
0 |
0 |
|
14 |
3,137 |
– 2,253 |
36,158 |
11516,786 |
0 |
5,703 |
–4,219 |
0 |
0 |
|
15 |
4,223 |
– 0,239 |
36,089 |
11516,786 |
0 |
3,137 |
–2,253 |
0 |
0 |
|
16 |
– 5,987 |
– 2,003 |
36,223 |
11516,786 |
0 |
4,223 |
–0,239 |
0 |
0 |
|
17 |
– 3,672 |
– 4,729 |
35,597 |
11516,786 |
0 |
– 5,987 |
–2,003 |
0 |
0 |
|
18 |
– 3,520 |
– 2,571 |
35,623 |
11516,786 |
0 |
– 3,672 |
–4,729 |
0 |
0 |
|
19 |
1,514 |
– 0,761 |
35,711 |
11516,786 |
0 |
– 3,520 |
–2,571 |
0 |
0 |
|
20 |
– 2,060 |
1,781 |
36,055 |
11516,786 |
0 |
1,514 |
–0,761 |
0 |
0 |
|
21 |
– 8,031 |
– 1,663 |
35,953 |
11516,786 |
0 |
– 2,060 |
1,781 |
0 |
0 |
|
22 |
– 2,755 |
– 5,217 |
35,497 |
11516,786 |
0 |
– 8,031 |
–1,663 |
0 |
0 |
|
23 |
5,080 |
1,478 |
35,655 |
11516,786 |
0 |
– 2,755 |
–5,217 |
1 |
0 |
|
24 |
2,188 |
– 0,344 |
36,334 |
0 |
323,002 |
5,080 |
1,478 |
0 |
0 |
|
25 |
– 4,076 |
– 3,683 |
36,108 |
0 |
323,002 |
2,188 |
–0,344 |
0 |
0 |
|
26 |
7,011 |
– 3,385 |
35,640 |
0 |
323,002 |
– 4,076 |
–3,683 |
0 |
0 |
|
27 |
4,778 |
4,752 |
36,260 |
0 |
323,002 |
7,011 |
–3,385 |
0 |
0 |
|
28 |
– 0,104 |
– 3,635 |
36,439 |
0 |
323,002 |
4,778 |
4,752 |
0 |
1 |
|
29 |
– 0,389 |
3,422 |
35,860 |
11769,756 |
0 |
– 0,104 |
–3,635 |
0 |
0 |
|
30 |
0,477 |
2,606 |
36,105 |
11769,756 |
0 |
– 0,389 |
3,422 |
0 |
0 |
Інші реферати на тему «Економічні теми»:
Маркетингова політика та її вплив на платоспроможність суб’єктів господарювання
Методичні підходи до виявлення основних механізмів обмеження опортунізму управлінців
Модернізація управлінської діяльності в сфері планування, обліку та оцінювання роботи науково-педагогічних працівників
Проблеми управління логістичною інфраструктурою підприємств
Основи економічного обґрунтування управлінських рішень на авіаційному підприємстві
