Сторінка
2
4.Для оцінки негативних властивостей ґрунтів узагальнюються матеріали за ступенем солонцюватості (вміст обмінного натрію у відсотках від місткості катіонного обміну, глибина залягання солонцевого горизонту); ступенем засолення (склад, концентрація і глибина залягання легкорозчинних солей); гідролітичною кислотністю, сумою обмінних основ, ступенем насиченості основами, ступенем оглеєння (глеюваті, глейові, сильноглейові, поверхнево оглеєні), глибиною залягання, складом і ступенем мінералізації ґрунтових вод, скелетністю ґрунту (%), завалуненістю, наявністю чагарників, купин, пнів (у відсотках від загальної площі).
5.Дані діагностичних ознак служать основою для встановлення бала бонітету ґрунтів. Останній розраховують таким чином: для кожної діагностичної ознаки, яка виступає в ролі одного з основних (типових) критеріїв, спочатку розраховують бал бонітету як відношення фактичного значення показника до еталону за формулою:
де Бсз — бал типової діагностичної ознаки, %;
Ф — фактичне значення ознаки;
Е — еталонне значення ознаки.
6.Еталоном запасів гумусу служить величина 500 т/га у шарі 0-100 см. Такі його запаси характерні для найродючіших типових і звичайних глибоких високогумусованих чорноземів.
Для діапазону активної вологи еталоном є величина 200 мм засвоюваної вологи у шарі 0-100 см. Такий її запас повністю задовольняє потреби рослин у воді. В ґрунтах з таким запасом створюється оптимальний водно-повітряний режим.
Стандартами для елементів живлення служать наступні величини:
- для азоту сполук, які легко гідролізуються і визначаються за методом Тюріна-Кононової, — 10 мг на 100 г ґрунту;
- для рухомих фосфатів, визначених за: Кірсановим — 26, Чиріковим — 20, Мачигіним — 6 мг на 100 г ґрунту;
- для обмінного калію, що визначається за методом Кірсанова — 17, Чирікова — 20, Мачигіна — 40, Пейве — 25 і Маслової — 20 мг на 100 г ґрунту.
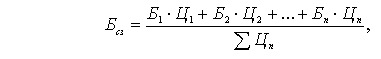
7.З усіх розрахованих типових критеріїв обчислюють для даного ґрунту середньозважений бал за формулою
де Бсз — зважений середній бал з типових критеріїв;
Б1,Б2 .Бn — бали типових критеріїв (гумус, ДАВ, азот, фосфор, калій);
Ц1,Ц2 .Цn - ціна балу критерію — визначається діленням стандартного показника на 100;
3.10. Коефіцієнти поправок на негативні властивості ґрунтів
EЦ — сума цін балів усіх критеріїв.
8.Розрахований за типовими критеріями зважений середній бал потім коректується з урахування клімату, зрошення і негативних властивостей ґрунтів, які обмежують урожайність сільськогосподарських культур (табл. 3.10, 3.11).
Коректування зважених середньобалів здійснюється за формулою:
Бб= Бсз • Кп ,
де Бб — бал бонітету ґрунтів;
Бсз — середньозважений бал типових критеріїв;
Кп — коефіцієнт поправок на негативні властивості ґрунтів і клімату.
3.11. Коефіцієнти поправок на клімат і зрошення
Отже, кінцевий бал бонітету ґрунту встановлюється шляхом послідовного множення середньозваженого бала (Бсз) на відповідні коефіцієнти поправок.
Врахування відхилень бала бонітету від типового шляхом множення на поправочні коефіцієнти дозволяє диференціювати оціночні бали залежно від конкретних умов місцевості і таким чином враховувати регіональні особливості ґрунтів.
9.Для ґрунтових комплексів бал якісної оцінки спочатку вираховують для кожного ґрунту, а потім з них виводять середньозважений бал ґрунтового контуру в цілому на карті за формулою:
де Ббк — бал бонітету ґрунтового контуру, який складається з комплексу ґрунтів;
Бг1, Бг2…Бn — бал бонітету ґрунтів, які становлять комплекс;
S1, S2…Sn — відсоток площі ґрунтів, які становлять комплекс.
10.Оцінюючий бал округлюється до цілих цифр, які наносяться на відповідний контур ґрунту за його шифром. Це і стає кінцевою мірою оцінки бонітету даного ґрунту.
11.Після встановлення балів бонітету ґрунтів складають шкалу бонітування, в якій ґрунти господарства розміщують у генетичній послідовності згідно з номенклатурним списком. Шкали мають бути розгорнутими, тобто дані діагностичних ознак повинні бути представлені в них як в абсолютних величинах (т/га, мм, мг, %), так і у відносних балах. Матеріали з бонітування ґрунтів наведено у таблиці 3.12.
3.12. Якісна оцінка (бонітування) ґрунтів
Шкали бонітування ґрунтів господарств служать основою бонітувальних шкал районів, областей і країни в цілому. Основою для проведення якісної оцінки земель служать матеріал бонітування ґрунтів, доповнені даними кількісного та якісного обліку земельних угідь території землекористування.
Якісній оцінці підлягають усі види сільськогосподарські угідь: орні землі, перелоги, багаторічні насадження, сінокоси і пасовища.
Інші реферати на тему «Географія фізична, геологія, геодезія»:
Гренландія – історія і сучасність
Управління земельними ресурсами в умовах реформування земельного ринку
Орографія та розвиток пост-гляціальних процесів південно-західної Канади та східної Європи
Технологія вирощування лісових культур на рекультивованих землях
Умови формування та розрахунки мінімального стоку річок басейну Дніпра (в межах України)
