Сторінка
1
Суть і зміст проектування рекультивації земель
Проекти рекультивації порушених земель розробляються на основі завдання на проектування і технічних умов.
У проекті рекультивації встановлюється технічна та економічна доцільність рекультивації, обґрунтовується вид наступного цільового використання рекультивованих земель, визначаються обсяги робіт технічного і біологічного етапів рекультивації, вибираються найбільш раціональні комплекси машин та обладнання, розробляються схеми формування відвалів і гірничо-планувальних робіт, зняття, транспортування, складання й нанесення на підготовлену поверхню відвалів родючого шару грунту. Складається календарний план робіт, розробляються зведені техніко-економічні показники і кошторисна вартість рекультивованих робіт. За необхідності проектом рекультивації обґрунтовуються зміни технологічного процесу діючих підприємств та інших, раніше затверджених, проектних рішень (розміщення відвалів, їх форма, параметри, спосіб відсипки, технологія зняття і складування родючого шару ґрунту та ін.).
Для проектування біологічної рекультивації залучаються на договірних умовах проектні організації системи Держкомзему, Міністерства аграрної політики, Міністерства екології та природних ресурсів, Міністерства освіти і науки України.
Розробку окремих розділів проекту (гасіння, розробка, пониження і переформування шахтних териконів з наступним їх озелененням) або проектів озеленення без виконання робіт технічного етапу рекультивації дозволяється виконувати підрозділам виробничих об'єктів із залученням на договірних умовах спеціалізованих організацій або використовуючи розроблені ними рекомендації. Наприклад, такі рекомендації щодо біологічної рекультивації на відпрацьованих шахтних териконах Донбасу запропоновані Донецьким ботанічним садом АН України, відвалів на території Нікопольського марганцеворудного комбінату -Дніпропетровським державним аграрним університетом, відвалів розкривних порід на території Передкарпатського сірконосного басейну Львівським державним аграрним університетом.
Матеріали технічного проекту передаються замовнику проектною організацією (генеральний проектувальник) у чотирьох примірниках, а субпідрядній проектній організації в п'яти примірниках, крім об'єктивних кошторисів, кількість примірників яких повинен бути на один більше. У випадках виконання окремих видів робіт субпідрядними організаціями або землекористувачами проектна організації передає замовнику додатково по одному примірнику об'єктивних кошторисів для кожної субпідрядної організації (землекористувача). Робочі креслення видаються замовнику у чотирьох примірниках. Техніко-робочий проект видається замовнику в тій же кількості примірників, що й робочі креслення.
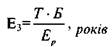
У проектах рекультивації встановлюється економічна ефективність затрат у процесі сільськогосподарської і рибогосподарської рекультивації, що визначається часом, за яким окупляться затрати на рекультивацію:
де Т- сума затрат на технічний етап рекультивації, грн/га;
Б- те ж на біологічний етап, грн/га;
Ер - річний дохід від реалізації сільськогосподарської (рибної) продукції з рекультивованої (обводненої) площі, грн/га.
Вихідні дані для розрахунків економічної ефективності рекультивації використовується із таких джерел:
- затрати на технічний і біологічний етапи рекультивації - із кошторису до проекту;
- перелік сільськогосподарських культур - із структури сівозмін, в яких передбачається використовувати ділянку, або з плодозміни, якщо вони будуть використовуватись поза сівозміною; у проектуванні водоймища встановлюються породи риб, які будуть розводитись;
- затрати на виробництво одиниці продукції — із матеріалів сільськогосподарських або рибогосподарських підприємств річних звітів господарств, розташованих поблизу гірничопромислових підприємств;
- затрати на переробку і реалізацію продукції орієнтовно приймаються за 7,2 % суми затрат реалізованої продукції.
Порівняльна економічна ефективність біологічної рекультивації може розраховуватися як за мінімальними затратами:
С1+ЕнКр=min,
так і за максимальним прибутком:
Εp – Εн Κp = max.
де С1- плинні затрати за кожним варіантом, грн;
Кp - капітальні затрати на рекультивацію 1 га земель, що включає втрати продукції, пов'язані з порушенням земель, грн;
Еp - сумарний розмір середньорічного ефекту від рекультивації 1 га земель, грн;
Ен - нормативний коефіцієнт ефективності капітальних вкладень.
Технічні умови і завдання на проектування рекультивації земель
Технічні умови щодо проектування рекультивації земель
Технічні умови щодо проектування рекультивації ε документом, який обґрунтовує вибір використання рекультивованих земель, визначає доцільність і виробниче значення, а також встановлює орієнтовні обсяги робіт, вартісні та технічні показники, необхідні для проектування рекультивації.
Інші реферати на тему «Географія фізична, геологія, геодезія»:
Аналіз існуючих підходів до районування водосховищ та пропозиції по його удосконаленню
Місце земельного кадастру у складі кадастру природних ресурсів. Здійснення програми і порядок ведення автоматизованої системи державного земельного кадастру
Точність нівелювання
Буроземні ґрунти на території Яремчанської міської ради, їх фізично-хімічні властивості та розповсюдження. Будова профілю буроземних ґрунтів за фізико-хімічними властивостями
Рекультивація порушених земель на кар'єрах
