Сторінка
3
• підвищення цін на реалізовану продукцію (за умови виключення впливу інших чинників цей чинник сприяв би збільшенню операційного прибутку в 10,8 раза порівняно з фактичним рівнем);
• збільшення собівартості реалізованої продукції (внаслідок дії цього чинника за умови незмінності інших чинників операційний прибуток зменшився б майже в 10 разів порівняно з фактичним рівнем).
Оскільки ціни на реалізовану продукцію підвищились більше, ніж її собівартість, то прибуток у загальному підсумку збільшився.
У наведеному прикладі вплив чинника змін у структурі реалізованої продукції виявився неістотним. Загалом у фактичному збільшенні операційного прибутку частка цього чинника становить 2,8 %.
Аналіз взаємозв’язку обсягів виробництва, собівартості та прибутку
В сучасних умовах у фінансовому аналізі слід ураховувати необхідність орієнтації вітчизняних підприємств на маркетинг, виробництво продукції, на яку є постійний попит, за прийнятними для підприємства цінами.
Розглядуваний напрямок фінансового аналізу властивий системі аналізу “директ-костінг”. Такий аналіз дає змогу послідовно визначити за критерієм беззбитковості критичні обсяги реалізації; критичний рівень цін реалізації; критичний рівень постійних витрат; критичний рівень змінних витрат на одиницю продукції. При визначенні одного з наведених показників інші вважаються фіксованими.
Розглянемо методику відповідних розрахунків для одно- та багато-номенклатурного виробництва, а також для умов, за яких ціна реалізації продукції залежить від обсягів її реалізації (умови так званої не-досконалої конкуренції).
Основою аналізу є поділ витрат підприємства на такі:
• постійні, або умовно постійні (S ), за певний період; вони за-лишаються незмінними щодо змін обсягів виробництва або ступеня завантаження виробничих потужностей; наприклад, амортизаційні відрахування, орендна плата, відсотки за позиковий капітал, заробітна плата управлінського персоналу, утримання легкового транспорту, оплата послуг зв’язку і охорони та ін. Ці витрати враховуються за місцем виникнення;
• змінні (S), тобто такі, що прямо залежать від зміни завантаження виробничих потужностей або зміни обсягів виробництва: витрати на сировину, матеріали, комплектуючі вироби, заробітну плату робітників-відрядників, технологічні енергоресурси та ін. Носій цих витрат - продукт, виріб;
• сукупні, тобто повна собівартість (S) - сума постійних (S) та змінних (S3MH) витрат:
де Q - обсяг виробництва (реалізації) у натуральних одиницях вимірювання; s . - змінні витрати на одиницю продукції; V— виручка від реалізації продукції; p - ціна реалізації одиниці продукції.
Припускається, що обсяг виробництва дорівнює обсягу реалізації продукції.
Використовуючи наведені раніше рівняння, можна розрахувати критичний обсяг виробництва (Q), тобто обсяг, який забезпечує беззбитковість діяльності підприємства. Це досягається тоді, коли виручка від реалізації продукції дорівнює повній собівартості, тобто
якщо K= Qp, то
звідки
Різниця між ціною реалізації виробу та змінними витратами на один виріб (знаменник останнього рівняння) становить маржинальний дохід на одиницю виробу.
Розрахувавши Qт, можна встановити, скільки одиниць продукції потрібно реалізувати, щоб постійні витрати були покриті маржинальним доходом, який дає кожна реалізована одиниця продукції.
Приклад. Постійні витрати * = 2500 тис. грн; ціна реалізації одиниці продукціїp = 35 тис. грщ змінні витрати на одиницю продукції = 22 тис. грн.
Критичний обсяг виробництва
Припустимо, що служба маркетингу наполягає на збільшенні витрат на рекламу; водночас підвищилась орендна плата і тарифи на послуги зв’язку. Унаслідок цього постійні витрати збільшились до 2750 тис. грн. Визначимо, який обсяг продукції треба реалізувати в цих умовах, щоб покрити новий розмір постійних витрат. Обчислюємо:
Визначення критичного обсягу виробництва (точки беззбитковості) ілюструє рис. 7. Суцільною лінією позначено перший варіант постійних витрат, штриховою - другий.
Таким чином, за умови стабільності цін і змінних витрат на одиницю продукції і при збільшенні постійних витрат точка беззбитковості зміщується вправо. Для того щоб покрити постійні витрати в розмірі 2500 тис. грн, достатньо реалізувати 192 одиниці продукції, а для покриття постійних витрат у розмірі 2750 тис. грн потрібно вже реалізувати 211 одиниць продукції. Збільшення обсягу реалізації продукції понад критичне значення забезпечує одержання прибутків (натомість зменшення призводить до збитків).
У діяльності підприємства може постати потреба у визначенні постійних витрат, прийнятних цін реалізації або змінних витрат на одиницю продукції.
Приклад. Виходячи з заданого обсягу реалізації продукції Q = 180 од. (контракти укладені саме на такий обсяг) з фіксованою ціною за одиницю р = 35 тис. грн і заданим рівнем змінних витрат на одиницю продукції і'змін = 22 тис' ГРН визначити критичний для підприємства рівень постійних витрат:
Такий рівень постійних витрат дає змогу підприємству уникнути збитків.
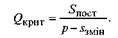
Приклад. Критичний рівень ціни реалізації продукції
Якщо SnoCT = 2500 тис. грн; Q = 200 од.; sЗМШ = 22 тис. грн, то
У разі реалізації продукції за цінами, нижчими за критичні, під-приємство зазнає збитків, а за цінами, що перевищують критичні, -одержує прибуток.
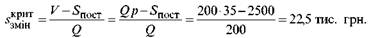
Приклад. Визначити критичний рівень змінних затрат на одиницю продукції, якщо Q = 200 од.; Sпост= 2500 тис. грн; p = 35 тис. грн:
Якщо змінні затрати перевищують критичний рівень, підприємство зазнає збитків, а якщо вони нижчі за критичний рівень - одержує прибуток.
У наведених розрахунках припускається, що підприємство виробляє один вид продукції (однономенклатурне виробництво). У фінансовому аналізі існують певні прийоми для того, щоб не порушувати цю вимогу в більш типових умовах багато номенклатурного виробництва. Найчастіше вдаються до вираження обсягів виробництва в умовних, або узагальнюючих, одиницях вимірювання; наприклад, умовні тонни хлібопекарської продукції, умовні котушки прядива, умовні пари взуття, верстато-години, відсоток використання потужностей та ін.
Інші реферати на тему «Фінанси»:
Умови залучення іноземних інвестицій в економіку України
Грошово-кредитна політика – теоретичні засади та практичні аспекти її функціонування в Україні
Фінансова санація підприємства, її економічний зміст та порядок проведення
Модель комерційного банку з урахуванням ліквідності
Аналіз грошових коштів за напрямками діяльності підприємства, аналіз фінансової стійкості підприємства
