Сторінка
8
а) [1;+∞); б) (-∞;1]; в) R; г) (-∞; 1)U(1;+∞).
6. Графік функції f(x) = x3 симетричний відносно:
а) осі OX; б) осі OY; в) початку координат.
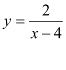
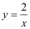
7. Паралельного перенесення графіка функції
на 4 одиниці вправо вздовж осі ОХ
а)
;б)
; в)
; г)
.
8. Паралельного перенесення графіка функції
на 4 одиниці вліво вздовж осі ОХ
а)
; б) в)
г)
9. Паралельного перенесення графіка функції
на 3 одиниці вгору вздовж осі ОY
а)
б)
в)
г)
10. Паралельного перенесення графіка функції
на 3 одиниці вниз вздовж осі ОY
а)
б)
в)
г)
Домашнє завдання:
за підручником «Алгебра 9» автори А. Г. Мерзляк, В. Б. Полонський, М. С. Якір-Харків: Гімназія – 2009
Повторити п.п. 9, 10, виконати №№. 314,321, 325*(додатково)
Тема уроку: Застосування кількох способів розкладу многочленів на множники
Мета уроку:
Навчальна: повторити та систематизувати знання та уміння учнів виконувати розкладання многочленів на множники різними способами та перетворення цілих виразів у многочлен; сформувати уявлення учнів про способи дій при комплексному використанні різних способів розкладання многочленів на множники; узагальнити знання учнів про види завдань, що розв'язуються із використанням розкладання многочленів на множники.
Виховна: виховувати прагнення допомагати один одному вчитися. виховувати культуру математичного мовлення, упевненість у своїх силах.
Тип уроку: комбінований.
Розвивальна: розвивати пізнавальну активність, логічне мислення, увагу;
Обладнання: презентація до уроку в програмі я Power Point, мультимедійне обладнання, допоміжні картки для Математичного лото, картки із завданнями для самостійної роботи.
Хід уроку
І. Організаційний момент.
Привітання. Слайд 1 (тема уроку)
Позитивне налаштування на співпрацю.
Сьогодні наш урок має пройти успішно, результативно, ми маємо показати свою обізнаність та компетентність у цій темі.
Слайд 2
У – успішність;
Р – результативність;
О – обізнаність;
К – компетентність.
ІІ . Мотивація навчальної діяльності.
Як ви думаєте, що означає слово компетентність?
Компетентність – це готовність застосувати знання, вміння, навички для розв’язування проблеми.
Отже, для кожного з вас це означає вміти набуті знання і вміння застосувати для розв’язування завдань.
Наш урок покаже, наскільки ви компетентні в цьому питанні.
Слайд 3
Основна мета уроку — систематизувати знання й уміння щодо застосування різних способів розкладання многочленів на множники; застосування перетворень виразів для розв'язування задач різного змісту.
Отже, починаємо.
Перед тим як розв’язати проблему, згадаємо теоретичний матеріал, який допоможе в роботі.
ІІІ. Перевірка домашнього завдання. № 720(1,2), 722 (1,2), 724 (1)
Відповідають учні-консультанти.
ІV. Актуалізація опорних знань.
- Що означає розкласти многочлен на множники?
- Які способи розкладання многочленна на множники ти знаєш?
Усні вправи:
Слайд 4.
1. Многочлен
має спільний множник …. х
2. Многочлен
має спільний множник ….(с-5)
3. Квадратом якого одночлена є вираз 16а2 … 4а
4. Вираз
є різницею квадратів виразів … 2х і у
5. Многочлен
є різницею квадратів … (2a+b) та 7
6. Одночлен
є подвоєним добутком виразу….
(
)
7. Одночлен
є подвоєним добутком виразу….
(
)
8. Многочлен
є …. повним квадратом суми … виразів 1 і 2а
9. Тричлен
є… неповним квадратом різниці виразів 3 та у
Слайд 5.
Подати у вигляді добутку:
=
=
![]()
![]()
Слайд 6.
Знайдіть помилку:
;
;
;
V.Розкласти на множники. Робота в парах.
Математичне лото
Учитель: А зараз ми пограємо в математичне лото. Щоб упоратись із завданнями, треба пригадати способи розкладання на множники.
Інші реферати на тему «Педагогіка, виховання»:
Соціально-педагогічні умови формування відповідального ставлення до власного здоров’я у старших підлітків
Психолого-педагогічні особливості засвоєння математичної термінології молодшими школярами
Аналіз педагогічного досвіду формування графічних умінь у молодших школярів на уроках трудового навчання
Вища освіта у Франції
Формування у молодших школярів граматичних понять роду, числа і відмінка іменників
