Сторінка
2
a9(t) – величина депозиту, який розмістив клієнт, на яку нараховуються відсотки;
a10(t) – величина кредиту, який взяв клієнт, на яку нараховуються відсотки;
a11(t) – капітал комерційного банку на момент автоматного часу t;
a12(t) – резерв комерційного банку на момент автоматного часу t;
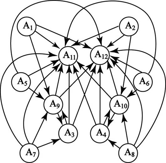
Граф міжавтоматних зв’язків для даної моделі буде мати такий вигляд:
Таблиця умовних функціоналів переходів для даної моделі буде наступною:
|
А1 |
a1(t) > 1 |
a1(t) = 1 | ||
|
a1(t) – 1 |
x1 | |||
|
А2 |
a2(t) > 1 |
a2(t) = 1 | ||
|
a2(t) – 1 |
x2 | |||
|
А3 |
a3(t) > 0 |
a3(t) = 0Ùa9(t) > 0 |
a3(t) = 0Ùa9(t) = 0 | |
|
(1 – x7(t))(a3(t) – 1) |
x5 |
0 | ||
|
А4 |
a4(t) > 0 |
a4(t) = 0Ùa10(t) > 0 |
a4(t) = 0Ùa10(t) = 0 | |
|
(1 – x8(t))(a4(t) – 1) |
x6 |
0 | ||
|
А5 |
x3 | |||
|
А6 |
x4 | |||
|
А7 |
x7 | |||
|
А8 |
x8 | |||
|
А9 |
x7(t)a3(t) = 0Ùa1(t) = 1 |
x7(t)a3(t) > 0 |
x7(t)a3(t) = 0Ùa1(t) > 1 | |
|
a5(t) |
a9(t) |
0 | ||
|
А10 |
x8(t)a4(t) = 0Ùa2(t) = 1 |
x8(t)a4(t) > 0 |
x8(t)a4(t) = 0Ùa2(t) > 1 | |
|
a6(t) |
a10(t) |
0 | ||
|
А11 |
a11(t) + x1(t)a5(t) – x2(t)a6(t) – aa9(t) + |
a11(t) + x1(t)a5(t) – x2(t)a6(t) – aa9(t) + | ||
|
a11(t) + (x1(t)a5(t) – x2(t)a6(t) – aa9(t) + |
a11(t) + (x1(t)a5(t) – x2(t)a6(t) – aa9(t) + | |||
|
А12 |
a11(t) + x1(t)a5(t) – x2(t)a6(t) – aa9(t) + |
a11(t) + x1(t)a5(t) – x2(t)a6(t) – aa9(t) + | ||
|
a12(t) + (x1(t)a5(t) – x2(t)a6(t) – aa9(t) + |
0 | |||
Система функцій виходів буде складатися з таких рівнянь:
– сигнал, що приймає одиничне значення у випадку,
коли в наступний момент часу до банку завітає клієнт, щоб розмістити депозит;
– сигнал, що приймає одиничне значення у випадку,
коли в наступний момент часу до банку завітає клієнт, щоб взяти кредит;
– сигнал, що приймає одиничне значення у випадку, коли в наступний момент часу до банку завітає клієнт, щоб забрати депозит, через закінчення строку, на який було депозит розміщено;
– сигнал, що приймає одиничне значення у випадку, коли в наступний момент часу до банку завітає клієнт, щоб повернути кредит, через закінчення строку кредитування.
Інші функції виходів співпадають із відповідними внутрішніми станами автоматів.
Матриця алфавітів містить інформацію про вхідні, вихідні та внутрішні алфавіти автоматів побудованої моделі. У даному випадку вона буде виглядати так:
|
A1 |
A2 |
A3 |
A4 |
A5 |
A6 |
A7 |
A8 |
A9 |
A10 |
A11 |
A12 | |
|
A1 |
N |
Æ |
Æ |
Æ |
Æ |
Æ |
Æ |
Æ |
N |
Æ |
D |
D |
|
A2 |
Æ |
N |
Æ |
Æ |
Æ |
Æ |
Æ |
Æ |
Æ |
N |
D |
D |
|
A3 |
Æ |
Æ |
N |
Æ |
Æ |
Æ |
Æ |
Æ |
N |
Æ |
D |
D |
|
A4 |
Æ |
Æ |
Æ |
N |
Æ |
Æ |
Æ |
Æ |
Æ |
N |
D |
D |
|
A5 |
Æ |
Æ |
Æ |
Æ |
R |
Æ |
Æ |
Æ |
R |
Æ |
R |
R |
|
A6 |
Æ |
Æ |
Æ |
Æ |
Æ |
R |
Æ |
Æ |
Æ |
R |
R |
R |
|
A7 |
Æ |
Æ |
D |
Æ |
Æ |
Æ |
D |
Æ |
D |
Æ |
D |
D |
|
A8 |
Æ |
Æ |
Æ |
D |
Æ |
Æ |
Æ |
D |
Æ |
D |
D |
D |
|
A9 |
Æ |
Æ |
N |
Æ |
Æ |
Æ |
Æ |
Æ |
R |
Æ |
R |
R |
|
A10 |
Æ |
Æ |
Æ |
N |
Æ |
Æ |
Æ |
Æ |
Æ |
R |
R |
R |
|
A11 |
Æ |
Æ |
Æ |
Æ |
Æ |
Æ |
Æ |
Æ |
Æ |
Æ |
R |
R |
|
A12 |
Æ |
Æ |
Æ |
Æ |
Æ |
Æ |
Æ |
Æ |
Æ |
Æ |
R |
R |
Інші реферати на тему «Фінанси»:
Здійснення платежів щодо погашення та обслуговування внутрішньої державної позики та інших внутрішніх державних цінних паперів
Загальні принципи політико-економічної стратегії України в сучасному геофінансовому просторі
Фінансовий аналіз інвестиційного проекту
Предмет, метод і завдання статистики
Бюджетний дефіцит, його причин і наслідки, методи управління
