Сторінка
9
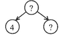
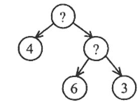
– Тато з’їв 12 вареників, мама – на 5 вареників менше, а Наталя – у 4 рази менше, ніж тато. Запишіть, скільки вареників з’їла мама і скільки – Наталя.
![]() |
Учні проводять стрілки від другого множника до відповіді.
II. Вивчення нового матеріалу.
Підготовча робота.
Пояснення нового матеріалу.
Вчитель показує на комп’ютері схему, за якою буде складатися нова таблиця:
Учні з’ясовують, що в усіх прикладах таблиці першим множником буде число 6.
Робота проходить у такому порядку:
1) дивлячись на схему, учні називають приклад таблиці;
2) вчитель друкує його без відповіді;
3) учні усно замінюють його прикладом на додавання і називають відповідь;
4) вчитель друкує її у приклад на множення.
Первинне закріплення.
1. Колективне розв’язування прикладів.
Учні пояснюють порядок виконання дій.
2. Усне фронтальне розв’язування задачі.
Ш. Розвиток математичних знань.
Сильніші учні самостійно працюють над завданнями 159-162. 1. Робота над задачею 159. Одночасно з повторенням учнями умови задачі вчитель показує на комп’ютері створення короткого запису:
Бесіда.
Підніміть руки, хто буде розв’язувати задачу самостійно. А хто працюватиме зі мною? (Далі вчитель питає лише тих, хто підняв руку після останнього запитання.) Які фігури з тих, що вказані в задачі, є многокутниками? Одночасно на комп’ютері з’являється початок схеми повного аналізу задачі:
![]() |
![]() |
Але що сказано про трикутники? (їх у 3 рази більше, ніж кругів.) А число кругів відоме? (6.) Вчитель зображує:
Чи можна визначити число трикутників? (Так.) Якою дією? (Множення.) Вчитель вписує дію у схему:
![]() |
А коли визначимо число трикутників, про що можна буде дізнатися? (Про число многокутників.) Якою дією? (Додавання.) Вчитель завершує схему:
![]() |
Дивлячись на схему, учні ще раз проговорюють план розв’язування і самостійно записують дії у зошит. Один учень зачитує відповідь. Вчитель записує на дошці два вирази і запитує, який з них є розв’язком задачі:
6 - 3 + 4 = 22, 4 + 6 - 3 = 22.
Учні аналізують структуру виразів, пригадують правило виконання дій різного ступеня і роблять висновок, що обидва вирази підходять; вони відрізняються лише порядком запису доданків.
2. Задача 160. Учні складають умову і пояснюють, що означає кожна дія у виразі.
3. Вправа 161. Учні по черзі виходять до дошки і записують:
а: 4 + а, а = 8, 8 : 4 + 8 = 10;
а + 6 * а, а = 8, 8 + 6-8 = 56;
(а + 7) : 5, а = 8, (8 + 7) : 5 = 3.
Щоразу вказується потрібне правило порядку дій.
4. Якщо залишиться час, один із сильніших учнів записує на дошці рівняння, які він виписав з № 162. Інші учні до кожного з цих рівнянь вказують назву невідомого компонента.
Підсумок уроку.
Учні хором називають лише відповіді таблиці множення числа 6.
Урок 12. Задачі з буквеними даними (аналіз розв’язування). Складання виразів і знаходження їх значень. Задачі на дві дії різного ступеня (3 клас)
Мета: Формувати вміння учнів розв’язувати задачі з буквеними даними; удосконалювати вміння розв’язувати задачу двома способами.
Хід уроку
І. Контроль, корекція і закріплення знань.
Перевірка домашнього завдання.
Учні по черзі зачитують усі завдання з №№253,254.
Завдання для опитування (сильного учня).
1. Учень записує рівняння, складене за завданням 257, і його розв’язання на дошці. Коментує, як знайдено невідомий від’ємник.
2. Вчитель записує на дошці два числа: 40 і 5 і запитує, про що можна дізнатися, використовуючи ці числа. Учень відповідає: 1) суму цих чисел; 2) наскільки одне число більше (менше) за друге; 3) у скільки разів одне число більше (менше) за друге. Щоразу учень дає відповіді на поставлене запитання.
Картки для опитування.
№1:
1. 7 * 3 + 7 * 7, 7 * 9 – 6 * 8.
2. х - 45 = 7, 45 - х = 7.
№2:
1. х – 53 = 29, 85 – х =38.
2. У прикладі 45 – 16 зменшуване збільшили на 2 одиниці. Як змінилася різниця?
Усні обчислення.
1. На дошці записані завдання вправи 256. Учні по черзі пояснюють, які числа можна поставити у "віконця" без виконання обчислення.
Зразок міркування. У першій нерівності зліва і справа записані два добутки, перший множник у яких однаковий (5), тому більшим буде той добуток, в якого більшим є другий множник. Зліва другий множник 6, тому справа він мусить бути меншим (5,4,3, .).
2. Гра "Ніч і день". Вчитель зачитує приклади на дві дії, які включають випадки табличного множення числа 7.
ІІ. Розвиток математичних знань учнів.
1. Робота над задачами 258.
Під час повторення умови вчитель виконує на комп’ютері короткий запис кожної задачі:
![]() |
![]() |
Вираз до другої задачі і відповідь учні записують у зошити, читають висновок, виділений курсивом. Після цього вчитель пропонує надати кілька значень числу k і записати відповідні вирази у зошити разом з їхніми значеннями. Одночасно один учень записує їх на дошці:
Інші реферати на тему «Педагогіка, виховання»:
Пріоритети здоров’язберігаючої діяльності
Узагальнення та систематизації знань школярів
Особливості психолого-педагогічної допомоги підліткам у процесі саморозвитку їх особистості
Організація продуктивної самостійної діяльності молодших школярів у навчальному процесі сучасної початкової школи
Гурток як вид позанавчальної роботи з образотворчого мистецтва в школі







