Сторінка
8
(а)
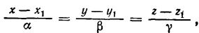
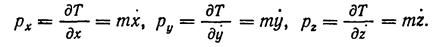
Залежності між узагальненими швидкостями й узагальненими імпульсами мають вигляд:
(b)
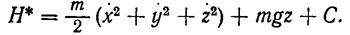
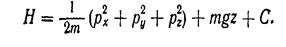
У рівність (а) підставляємо узагальнені швидкості, отримані з рівнянь (b). Знаходимо гамильтоніан розглянутої точки:
(с)
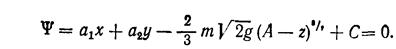
Точка має часову симетрію, тому що час t не входить явно у функцію Н. Рівняння Остроградского — Гамільтона — Якобі знаходимо:
(d)
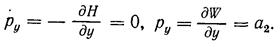
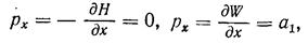
З рівності (d) видно, що точка має просторову симетрію по координатах χ і y. Узагальнені імпульси, що відповідають цим координатам, залишаються постійними;
(е)
тут a1 і a2: — постійні значення узагальнених імпульсів рx і рy відповідно.
З рівностей (е) випливає, що функція W лінійно залежить від координат χ і y. Тому рішення рівняння (d) шукаємо у вигляді:
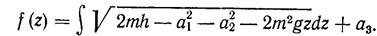
W = α1χ + а2у + f(z), (f)
де f(z) – невідома функція. Вираз (f) підставляємо в рівняння (d), знаходимо звичайне диференціальне рівняння першого порядку щодо функції f(z):
Звідси знаходимо
(g)
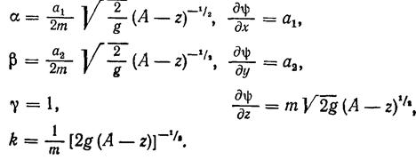
На підставі формул (f) і (g) визначаємо характеристичну функцію
(h)
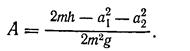
де
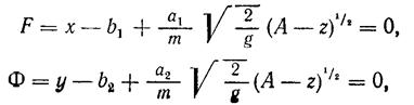
Визначаємо перші інтеграли канонічних рівнянь динаміки:
(i)
(J)
(k)
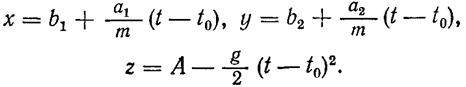
Тут рівності (i) — проміжні інтеграли, що визначають узагальнені імпульси розглянутої точки. Геометричні інтеграли (j) визначають сімейство просторових кривих — можливих траєкторій точки, що є лініями перетинання параболічних циліндрів з утворюючими, рівнобіжними осям Оу й Ох відповідно. Кінематичний інтеграл (k) дозволяє визначити кінематичні рівняння руху точки:
Отримане рішення містить шістьох постійних інтегрування, обумовлених заданням початкових значень гамільтонових змінних. Крім того, геометричні інтеграли визначають всю сукупність можливих траєкторій точки. Такою спільністю не володіє розв’язок, отриманий для цієї задачі по методу Лагранжа.
Щоб відзначити ще одне достоїнство отриманого рішення згадаємо закон геометричної оптики: в оптично неоднорідному середовищі світловий промінь поширюється по кривій, дотична до якої в кожній точці збігається з нормаллю до хвильової поверхні, що проходить через цю точку.- цей закон ще називається оптико-механічним принципом Мопертюї-Лагранжа.
Доведемо, що аналогічною властивістю володіє сімейство траєкторій (j) і сімейство поверхонь:
W=const (l)
де W — характеристична функція (h).
Для доказу перепишемо рівняння (j) і (1) у такий спосіб:
(n)
Рівняння дотичної до кривої, що описується рівняннями (m), має наступний вигляд:
(о)
Рівняння нормалі до поверхні, яка описується рівнянням (n),
(р)
Необхідно довести рівності
(q)
Обчисливши, знаходимо:
На підставі отриманих виражень переконуємося в справедливості рівностей (q).
Доведена тут аналогія руху матеріальної точки в поле сили ваги з хвильовим процесом має місце й у випадку руху вільної матеріальної точки в стаціонарному центрально-симетричному полі із силовою функцією U(r). У цій аналогії некласична механіка знайшла базу для ймовірнісного і статистичного тлумачення хвильової механіки.
Висновки
Варіаційні принципи механіки – це положення, що встановлюють властивості рухів, які фактично здійснюються під дією заданих сил, рух (стан рівноваги) механічної системи відрізняється від всіх її кінематично можливих рухів (станів), і які дозволяють отримати в якості наслідків рівння рухів або рівноваги системи
Варіаційні принципи механіки визначають найбільш загальні закономірності механічних рухів і тому знаходять широке застосування в сучасній механіці і фізиці. Ряд цих принципів виражає властивості мехінічних систем у вигляді, який дозволяє розповсюдити принципи на інші області фізики.
Принципи, що були розглянуті в цій роботі, наведені в ній як універсальні методи вирішення визначених задач динаміки і статики, хоча кожний з них можна розглядати як аксіоматичне твердження, з якого логічно випливає зміст механіки при тих обмеженнях, при яких справедливий той чи інший принцип.
Література.
1. Бугаєнко Г.О. Курс теоретичної механіки. – Київ, 1968. – 367 с.
2. Кильчевский Н.А., Ремизова Н.И., Кильчевская Е.Н. Основы теоретической механики.– К, 1986. – 295 с.
3. Ландош К. Вариационные принципы механики. – М.: Мир, 1965.
[1] Мопертюї (1698—1759) керував Берлінською Академією наук, займався астрономією і механікою.
[2] Є дані про те, що видатний математик Лейбніц в одному з своїх листів сформулював відповідний принцип ще в 1707 p.
[3] Якобі Карл (1804—1851) був професором Кенігсберзького університету. Він дав теорію перетворення еліптичних інтегралів (8-функції Якобі), дістав фундаментальні результати в галузі диференціальних рівнянь з частинними похідними і розробив метод інтегрування диференціальних рівнянь небесної механіки. Головні з цих методів викладені в його «Лекціях з динаміки». (Є російський переклад 1936 p.).
