Сторінка
4
Якщо інвестор придбає облігацію 01.12.02 р. після сплати по ній процентів за ціною 980 гр. од., вона забезпечить йому дохідність на рівні 11,65%, що на 0,65% вище від купонної ставки.
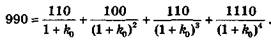
4. Для того щоб визначити, чи забезпечить ця облігація інвестору дохідність на рівні 11,5%, якщо придбати її за ринковою вартістю 990 гр. од. 01.12.02 р. після сплати за нею процентів, необхідно розв'язати відносно k0 рівняння:
Розв'язком рівняння є k0 = 11,32%. Це означає, що придбання облігації 01.12.02 р. після сплати за нею процентів за ціною 990 гр. од. забезпечить власнику при погашенні облігації 01.12.06 р. дохідність у розмірі 11,32%, що на 0,18% менше від необхідної ставки доходу 11,5%. Підставляючи в (13.13) k0= 11,5%, можна визначити, що ринкова вартість, яка становить Р0= 984,65 гр. од., забезпечить необхідну ставку доходу в розмірі 11,5%.
Рекомендована література
1. Брігхем Є.Ф. Основи фінансового менеджменту. — К.: Молодь, 1997.
2. Панова С. Анализ финансового состояния коммерческого банка. — М.: Перспектива, 1996.
3. Финансовое управление компанией / Под ред. Е.В. Кузнецовой. — М.: Фонд "Правовая культура", 1996.
4. Шарп У., Александер Г., Бэйли Дж. Инвестиции: Пер. с англ. — М.: ИНФРА-М, 1997.
5. Fabozzi J Modigliani E. Capital markets: institutions and instruments. — Prentice Hall Inc., 1996.
6. Livingston M. Money and capital markets. — Prentice Hall Inc., 1990.
Інші реферати на тему «Світовий ринок і торгівля»:
Оцінювання дохідності операцій з фінансовими активами
Визначення та види опціонів
Угода про текстиль і одяг, сільське господарство, генеральна угода з торгівлі послугами
Ощадні банки та ощадно-кредитні асоціації
Угода про застосування санітарних і фітосанітарних заходів, процедури імпортного ліцензування, субсидування експорту
