Сторінка
3
Реальна дохідність фінансових активів завжди коригується ринком. Дохідність активів, що перебувають в обігу на вторинному ринку, насамперед визначається ринковими процентними ставками та ситуацією на ринку. При цьому дохідність фінансових активів з плаваючим доходом безпосередньо коригується ставкою доходу, що змінюється відповідно до ринкових процентних ставок.
Дохідність інструментів з фіксованим доходом коригується змінами в їх ринковій вартості. Так, при зростанні процентних ставок на ринку ринкова вартість боргових зобов'язань з фіксованим купоном буде зменшуватись, забезпечуючи інвестору вищий рівень доходу, ніж купонна ставка. При падінні процентних ставок на ринку ціни боргових зобов'язань з фіксованим купоном будуть зростати, забезпечуючи інвесторам рівень доходу, що нижчий від купонного. Однак у будь-якому разі, дохідність фінансового активу що перебуває в обігу на вторинному ринку, відповідає ринковій дохідності інших фінансових активів, що є в обігу в цей момент на ринку і мають такий самий ступінь ризику та термін обігу, як даний фінансовий актив.
Оцінювання облігацій
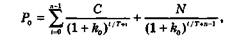
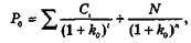
Ринкова вартість купонної облігації може бути оцінена на основі (13.8) за формулою
де Сі — купонні виплати за і-й період; п — кількість періодів до погашення; N — сума, яку отримає власник облігації при її погашенні (як правило, дорівнює номінальній вартості облігації); k0 — дисконтна ставка, що дорівнює існуючій ставці за подібними зобов'язаннями та відображає дохідність при погашенні цієї облігації.
Формулу (13.9) використовують для оцінювання ринкової вартості облігації у разі, коли останні купонні виплати щойно відбулися, а наступні будуть здійснені в кінці періоду (якщо виплати проводять щороку, наступні виплати мають відбутися через рік).
Якщо з моменту останніх купонних виплат минуло ti днів, до наступних виплат залишилося t днів, період становить Т днів (як правило, Т = 365), вартість облігації з фіксованим купоном С з достатнім ступенем точності може бути обчислена за формулою
або
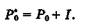
При цьому ціна, яку повинен сплатити інвестор власнику облігації при її купівлі, має бути більшою від Р0 на величину накопиченого процента I, що утворився за період з останньої виплати процентів до даного моменту, тобто за період t1 = Т - t:
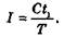
Накопичений процент I розраховують за формулою
Приклад. Облігація з фіксованим купоном 11%, що сплачується раз на рік, буде погашена 01.12.06 р. за номінальною вартістю 1000 гр. од.
1. Оцінити ринкову вартість облігації після сплати за нею процентів 01.12.02 p., якщо дохідність А0 подібних облігацій, що перебувають в обігу в даний момент на ринку, становить 9%. Наступні купонні виплати за облігаціями будуть здійснені через рік.
2. Яку суму повинен сплатити інвестор власнику облігації при купівлі її 05.05.03 p., якщо останні купонні виплати відбулися 01.12.02 p., ринкова дохідність подібних облігацій, що перебувають в обігу в цей момент на ринку, становить 12% ?
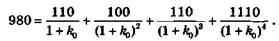
3. Яку дохідність забезпечить облігація інвестору, якщо вона придбана 01.12.02 р. після сплати за нею процентів за ринковою ціною 980 гр. од.?
4. Чи забезпечить ця облігація інвестору дохідність на рівні 11,5%, якщо придбати її за ринковою ціною 990 гр. од. 01.12.02 р. після сплати за нею процентів?
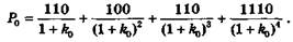
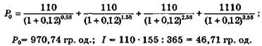
1. Очікувані грошові потоки за цією облігації складаються з чотирикратних купонних виплат у розмірі 110 гр. од. та суми 1000 гр. од., яку отримає власник облігації 01.12.06 р. при її погашенні.
Для оцінювання ринкової вартості облігації потрібно дисконтувати грошові потоки на дату 01.12.02 р. за ставкою k0 = 9%, яка визначає дохідність подібних облігацій, тобто:
При P0 = 9% ринкова вартість облігації становить 1064,79 гр. од.
2. Для того щоб визначити ціну продажу облігації на ринку 05.05.03 p., коли з моменту останніх купонних виплат минуло 155 днів, а до наступних виплат залишилося 210 днів, треба розрахувати теперішню вартість очікуваних грошових потоків за облігаціями за формулою (13.11) та обчислити накопичений власником облігації за 155 днів процент /:
Придбати таку облігацію на ринку можна згідно з (13.12) за ціною р0=970,74 + 46,71 = 1017,45 гр. од., що компенсує її попередньому власнику втрати від володіння облігацією протягом 155 днів без можливості отримати наступні купонні виплати.
3. Для визначення очікуваної дохідності облігації при відомій її ринковій вартості слід розв'язати рівняння (13.13) відносно k0, тобто
Рівняння такого типу мають аналітичний розв'язок лише в окремих випадках. Наведене рівняння розв'язується за допомогою фінансового калькулятора або комп'ютера. Розв'язком рівняння є процентна ставка k0 = 0,1165, або &0=11,65%
