Сторінка
3
Рис 3 1 Категорії населення
1. Зайняті — люди, котрі виконують якусь оплачувану роботу, а також ті, що мають роботу, але тимчасово не працюють через хворобу, страйк чи відпустку.
Зайнятими (за матеріалами вибіркового обстеження робочої сили) вважають осіб, які відпрацювали протягом обстежуваного тижня не менше як чотири години на день (в особистому підсобному господарстві — не менш як ЗО годин за тиждень) незалежно від того, була це постійна чи тимчасова, сезонна, випадкова або інша робота.
2. Безробітні, у визначенні МОП, — це особи віком 15-70 років (зареєстровані та незареєстровані в державній службі зайнятості), які:
• не мали роботи (прибуткового заняття);
• шукали роботу або намагались організувати власну справу впродовж обстежуваного тижня;
• готові розпочати або розпочинають роботу протягом наступних двох тижнів;
• знайшли роботу та чекають відповіді;
• зареєстровані в службі зайнятості як такі, що шукають роботу;
• навчаються за направленням служби зайнятості.
Зареєстровані безробітні, згідно з Законом України "Про зайнятість населення", — це працездатні громадяни працездатного віку, які не мають заробітку або інших передбачених законодавством доходів, зареєстровані у державній службі зайнятості як такі, що шукають роботу, готові та здатні розпочати підходящу роботу [7].
3. Особи поза робочою силою, або економічно неактивне населення:
• люди віком до 16 років, а також ті, які перебувають у спеціалізованих установах (психіатричних установах, виправних закладах тощо);
• особи, які вибули зі складу робочої сили, — дорослі, які мають можливість працювати, але не працюють і не шукають роботу; особи, які навчаються з відривом від виробництва; військові строкової служби; жінки, які перебувають у відпустці по догляду за дитиною; пенсіонери; особи дуже хворі, щоб працювати, або такі, що не шукають роботу; іноземні громадяни.
Безробіття і зайнятість вимірюються показниками "рівень безробіття" і "рівень зайнятості" відповідно.
Рівень безробіття — це відношення (у %) кількості безробітних до робочої сили:
Рівень зайнятості — це відношення кількості зайнятого населення до всього опитуваного населення. Розрізняють рівні зайнятості за статтю, віковими групами, місцем проживання.
Рівень зайнятості по країні визначається за формулою:
Потенційним рівнем ВВП вважають обсяг виробництва за умови повної зайнятості ресурсів. Під час спаду він менший за цей рівень, потім поступово повертається до нього, а інколи перевищує цей рівень під час піднесення економіки.
Якщо фактичний ВВП менший за потенційний, Υ*< Υ свідчить про відставання ВВП. Відставання ВВП — це обсяг продукції, що його економіка втрачає через неповне використання свого виробничого потенціалу.
Якщо фактичний ВВП більший, ніж потенційний, Y1>Υ ілюструє перевищення фактичним ВВП свого потенційного рівня. Це стає можливим найчастіше в екстремальних ситуаціях, коли в процес виробництва залучаються додаткові зміни робітників, капітальне обладнання використовується понад встановлені нормативи, поширюється понаднормова праця і праця за сумісництвом.
Циклічне безробіття, крім соціальних негараздів, призводить до втрат в обсязі реального ВВП.
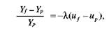
Артур Оукен на прикладі США математично виразив зв'язок між рівнем безробіття і відставанням обсягу ВВП. Він сформулював закон, згідно з яким країна втрачає 2-3 % фактичного ВВП відносно потенційного ВВП, коли фактичний рівень безробіття збільшується на 1 % порівняно з його природним рівнем:
де Yf — фактичний ВВП, Υ — потенційний ВВП, м/· — фактичний рівень безробіття, и — природний рівень безробіття, А — емпіричний коефіцієнт чутливості ВВП до змін циклічного безробіття (коефіцієнт Оукена). Припустимо, λ = 2,5. Тоді закон Оукена формулюється так: якщо фактичний рівень безробіття и --перевищує природний рівень и на 1 %, то відставання обсягу ВВП становить 2,5 %.
Це відношення (1:2,5 або 2:5) дозволяє обчислити абсолютні втрати продукції, які пов'язані з будь-яким рівнем безробіття.
Економічний цикл
Важливою особливістю ринкової економіки є її нестабільність. Історія свідчить про те, що економічні умови ніколи не були сталими. За економічним піднесенням настає економічний спад, і навпаки.
Економічний цикл (цикл ділової активності) — це періодичне піднесення або спад реального ВВП на тлі загальної тенденції до зростання.
Економічний цикл характеризується: 1) самовідтворенням; 2) безперервністю (остання фаза попереднього циклу є початком нового); 3) хвилеподібним характером динаміки макроекономічних показників.
Окремі економічні цикли суттєво відрізняються між собою за тривалістю та інтенсивністю, проте всі вони утворюються з одних і тих самих фаз. Наприкінці попереднього і під час народження нового циклу — спад — погіршуються показники. На нижньому рівні — дно — встановлюється короткочасна рівновага. Під час поширення нового економічного циклу — піднесення — показники різко зростають. На верхньому рівні — пік — досягнення рівноваги, потім — знову спад. Сучасні економічні теорії розрізняють дво- та чотири-фазні моделі економічного циклу. Двофазні моделі містять фази піднесення і спаду та найвищу (пік) і найнижчу (дно) точки циклу (рис. 3.2).
Початковою фазою економічного циклу є спад (криза). Він порушує нормальний хід економічного розвитку. Обсяг валового внутрішнього продукту та рівень зайнятості скорочуються. Безробіття зростає.
Рис 3 2 Двофазна модель економічного циклу
Однак ціни не завжди знижуються. Під час спаду досягається найнижча критична точка (дно), після якої починається пожвавлення. Виробництво і зайнятість на дні досягають найнижчого рівня. На фазі піднесення виробництво та зайнятість зростають. Рівень цін може підвищуватися. Життєвий рівень населення також зростає. Досягається критична точка — пік (вершина), коли в економіці спостерігається повна зайнятість і повне використання економічних потужностей. Рівень цін має тенденцію до підвищення. Зростання ділової активності припиняється.
Чотирифазна модель економічного циклу розрізняє фази: А — піднесення, В — кризи, С — депресії та D — пожвавлення (рис. 3.3).
Рис З З Чотирифазна модель економічного циклу
За тривалістю економічні цикли поділяють на: короткі (малі) — коливання ділової активності 3-4 роки; середні (промислові) — коливання ділової активності 8-10 років; великі (довгі хвилі) — з періодичністю 48-55 років.
Інші реферати на тему «Макроекономіка»:
Сукупна пропозиція. Цінові та нецінові фактори сукупної пропозиції. Механізм функціонування ринку праці
Показники системи національних рахунків
Ринок: сутність, умови формування та закони розвитку
Поняття про систему національних рахунків та її показники. Грошово-кредитне регулювання економіки
Моделі економічної рівноваги
