Сторінка
3
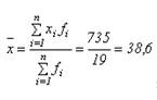
Кількість дітей, яка в середньому нараховується в одному таборі знаходимо за формулою визначення середньої зваженої:
» 38 ¸39 дітей
Такий самий результат можна дістати, здійснивши розрахунок за середньою арифметичною простою.
Інші реферати на тему «Економіка підприємства»:
Необхідність і значення періодичної переоцінки та індексації основних фондів
Населення і трудові ресурси України
Класична і неокласична теорії зайнятості
Аналіз господарської діяльності підрозділу ВАТ Київська поліграфічна фабрика “Зоря”
Управління матеріальними ресурсами як чинник мінімізації витрат на виробництво продукції та максимізації доходів фірми
