Сторінка
1
Різниця у співвідношенні попиту і пропозиції за професійно-кваліфікаційними, галузевими і статево-віковими групами зумовила поділ ринку робочої сили на ряд сегментів, що відрізняються передусім ступенем забезпеченості робочими місцями та їх надійністю.
Отже, існують два ринки робочої сили.
Перший ринок робочої сили представлений в основному робітниками і службовцями середньої та низької кваліфікації, працівниками галузей, що зазнали структурної перебудови, частково зайнятими, тимчасовими працівниками, надомниками, безробітними. На цьому ринку гнучкість досягається переважно за рахунок кількісних коливань, що зумовлюють нестійку зайнятість. Згідно з оцінками Міжнародної організації праці, у промислове розвинених країнах у 80-ті роки XX ст. частково зайнятих було в середньому 50 млн чол. на рік, що на ЗО % більше, ніж у попередньому десятилітті. Ця негативна тенденція характерна і для сучасного стану економічного розвитку.
Рис 2 Основні сегменти сучасного ринку робочої сили за соціально-економічними характеристиками
Другий — ринок складної, кваліфікованої робочої сили, що забезпечує повну зайнятість, і основна частка на котрому належить представникам нових спеціальностей і галузей високої технології. Ця робоча сила потребує великих капіталовкладень, характеризується функціональною гнучкістю, відрізняється відносно високим ступенем захищеності.
У 1998 р. І. Л. Петровою було вперше запропоновано методику розробки сегментаційних моделей ринку праці.
Ця методика базується на здійсненні таких кроків: визначенні характеристик економічної поведінки та соціального становища працівників за різними кваліфікаційними ознаками; виявленні суспільних якостей працівників різних кваліфікаційних груп щодо подібності тих соціально-економічних відносин, в які вони вступають на ринку праці; встановленні відмінностей між працівниками за обраними критеріальними ознаками; виділенні у соціально-економічній структурі ринку праці сегментів, що мають суттєві стійкі ознаки внутрішньої подібності за зовнішньою відокремленістю.
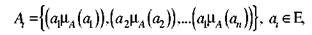
Для реалізації даної методики застосовано методи теорії нечітких множин, якими встановлено ступінь належності деякого елемента ринку праці певному сегменту, котрий, внаслідок нечіткості своїх меж, є нечіткою підмножиною ринку праці. Критеріальні ознаки сегментації (способи включення, координації та оцінки праці) представлено як складені лінгвістичні змінні, а їх компонентами обрано оцінки показників використання робочого часу, співвідношення попиту і пропозиції на працю; типи, рівень та спосіб утворення доходів. Сегментаційні моделі ринку праці, побудовані за даною методикою, математично описуються у такий спосіб:
де Е — сукупність елементів (осіб, працівників) ринку праці;
АІ — деякий сегмент ринку праці, під множина Е;
т — число сегментів ринку праці;
аг — окремий представник ринку праці;
μΑ(α;) — ступінь належності представника аг певному сегменту ринку праці за обраними критеріями.
У результаті застосування даної методики запропоновано авторську модель соціально-економічної сегментації ринку праці. На відміну від західних, вона є не дуалістичною, а троїстою, охоплюючи: 1) зайнятих в офіційній економіці; 2) зайнятих паралельно в офіційній та неофіційній економіках; 3) зайнятих виключно в неофіційній економіці.
У межах троїстої моделі сегментації українського ринку праці виявлено сім сегментів:
1. Зайняті в офіційній економіці:
• підприємці, менеджери, представники дефіцитних професій, пов'язаних з обслуговуванням ринку;
• висококваліфіковані спеціалісти, праця яких користується попитом у сучасному виробництві;
• представники професій різної кваліфікації, різного освітнього рівня із спадним або нульовим попитом на працю — контингент приховано безробітних;
• працівники, які через різні обставини не можуть знайти постійне місце роботи; маргінальні групи населення.
2. Зайняті одночасно в офіційній і неофіційній економіках:
• особи, які працюють на засадах вторинної зайнятості, або ті, які одержують нелегальні доходи та привілеї щодо оподаткування на основному робочому місці.
3. Зайняті в неофіційній економіці:
• зайняті нелегальною діяльністю;
• представники різних видів самозайнятості населення (неформальна діяльність).
Основні відмінності між сегментами полягають саме у способах включення робочої сили до трудового процесу, координації праці та її оцінки. За цими критеріями було описано сегменти українського ринку праці та визначений ступінь належності до них різних груп працівників :
Сегментаційна модель українського ринку праці
| Сегмент | Критеріальні ознаки українського ринку праці | |||
| Спосіб включення робочої сили до процесу праці |
Спосіб координації | Спосіб оцінки праці | ||
| 1 | 2 | 3 | 4 | |
|
1 |
Робота за наймом на основі тривалих контрактів або договорів, робота на власному підприємстві чи такому, де є своя частка власності |
Спрямованість праці на задоволення потреб, визначених ринком Переважання управлінських функцій в діяльності, наявність елементів самоуправління Висока конкурентоспроможність |
Високий рівень доходів Поєднання різних форм доходів заробітної плати, відсотків, дивідендів, участь у прибутку фірми | |
|
2 |
Достатня гарантія зайнятості на основі тривалих контрактів, договорів, ліцензій та патентів Високий статус працівників на підприємстві Захищеність від масштабних вивільнювань |
Регулювання зайнятості на основі співвідношення попиту І пропозиції на продукцію чи послуги праці даного контингенту, розвитку конкуренції та зміцнення конкурентоспроможності за рахунок високого професіоналізму та якості продукції. |
Рівень доходів, вищий за середній в економіці Стабільність доходів, обумовлена стабільністю роботи підприємства І попитом на послуги праці | |
|
3 |
Зайнятість не стабільна Можливість безробіття та переходу працівників на Іншу роботу Плинність кадрів Часто робота неповний робочий час за короткостроковими угодами, за сумісництвом в Інших місцях |
Низький попит на працю даного контингенту, підтримка зайнятості державними дотаціями Низька конкурентоспроможність Виконавчі, переважно допоміжні функції, в процесі праці |
Низький рівень заробітної плати, неповна І нерегулярна виплата Застосування державних пільг і допомоги | |
|
4 |
Нестабільна зайнятість, неповний робочий час, короткострокові трудові угоди, труднощі у працевлаштуванні, дискримінаційні обмеження у прийомі на роботу |
Нульовий попит на послуги праці Регулювання руху на ринку праці за участю держави та самостійний пошук роботи |
Низькі, нестабільні, часто випадкові доходи | |
Інші реферати на тему «Економіка підприємства»:
Тренінги розвитку здібностей. інноваційного підходу до вирішення проблем раціоналізації трудової діяльності
Формування показників праці та заробітної плати і методика їх аналізу на підприємстві
Банкрутство підприємства
Зміст, цілі і завдання управління фінансовою діяльністю. Методи прогнозування фінансового стану підприємства
Правові форми організації підприємств
