Сторінка
2
| 1 | 2 | 3 | 4 | |
|
5 |
Одночасна участь в офіційній та неофіційній економіках |
Координація на основі поєднання механізмів ринкового регулювання, державного втручання та "законів" тіньового ринку |
Поєднання доходів від офіційної зайнятості з додатковими джерелами нелегальних доходів | |
|
6 |
Утворення неформальних угруповань з метою нелегального бізнесу |
Груповий характер діяльності, що регулюється законами тіньового ринку Із застосуванням рекету, пограбувань, шантажу тощо Відсутність контролю з боку держави |
Високі доходи, пов'язані з ризиком, з порушенням чинного законодавства | |
|
7 |
Самозайнятють у різних формах вияву (особисте підсобне господарство, репетиторство, економічний туризм, валютні махінації тощо) |
Індивідуальний характер діяльності Робота на свій страх І ризик |
Доходи, достатні для виживання в перехідному періоді Відсутність соціального захисту | |
Сутність представленої моделі полягає в тому, що за допомогою певних, науково обґрунтованих критеріїв (характеристик способів включення, координації та оцінки праці) визначається належність тієї чи іншої групи працівників до конкретного ринку праці. За оцінками автора, міжсегментні пропозиції визначено як 2:6:6:2:7:3:5.
Найважливішими сегментами українського ринку праці є третій та четвертий: приховано безробітні та маргінальні групи. До маргінальних груп віднесено: осіб, зайнятих неефективно, з виражено спадним попитом на працю; осіб, які втратили зайнятість і відчувають труднощі у її відновленні; осіб, які не мають роботи і не намагаються її знайти (зневірені). Критеріями маргінальності даних груп є: а) нестабільна, неповна зайнятість або вилучення із суспільного виробництва; б) відсутність ринкового регулювання (оскільки попиту на дану працю немає) і ускладнення державного регулювання у зв'язку з неповною зареєстрованістю; в) низькі, нестійкі, часто випадкові доходи.
Тенденціями маргіналізації на українському ринку праці є абсолютне і відносне збіднення все більшої частки маргінального прошарку; пасивно-негативне ставлення до маргінальних груп з боку влади і байдужа зворотна реакція; переплетіння самоадаптаційних та саморуйнівних механізмів стратегії виживання маргіналів.
Для цілеспрямованого регулювання ринку праці та найбільшої галузі економіки — промисловості необхідно мати об'єктивне уявлення про його початковий стан. Загальний стан ринку праці можна визначити за допомогою оцінки його збалансованості. У свою чергу, баланс ринку праці оцінюється через співвідношення чи ступінь відповідності між попитом та пропозицією на робочу силу.
При розрахунку балансу праці переважає підхід, заснований на оцінці динаміки попиту та пропозиції робочої сили, та, насамперед, співвідношення між наявними вільними робочими місцями та кількістю громадян, що шукають роботу в промисловості. Іноді, характеризуючи ринок праці, використовують тільки дані про кількість безробітних, при цьому багато фахівців роблять акцент на необхідності повної зайнятості та забезпеченні конституційного права на працю та соціальний захист від безробіття.
Загальна характеристика ринку праці та його масштаби можуть бути зведені до прогнозів щодо вивільнення працівників, кількості молодих фахівців, що закінчують навчання та готові приступити до праці, а також кількості безробітних, вільних робочих місць, в тому числі новостворених, тощо.
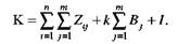
У загальному вигляді баланси ринку праці можна представити у такий спосіб:
Κ = Ζ + Ν,
де К — загальна кількість працездатних, чол.;
Ζ — кількість зайнятих по галузях та по професіях, чол.;
N = О+І,
де О — незайняті, які звернулися до служби зайнятості, чол.; І — незайняті, які не звернулися до служби зайнятості, чол.;
де k — коефіцієнт співвідношення між тими, хто звернувся до служби зайнятості, та безробітними, наявність яких обумовлена інертністю системи обліку та реєстрації, за оцінками Міністерства статистики України, він дорівнює 1-^6; В — безробітні за професіями. Тобто,
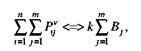
Попит на робочу силу на ринку праці в промисловості можна представити так:
де P — кількість вільних робочих місць та вакансій за галузями та професіями.
Для оцінки збалансованості регіонального ринку праці потрібно було б у чистому вигляді розглядати співвідношення Pv <=> Ν, але при оцінці збалансованості ринку праці в промисловості можна розглядати і співвідношення Ρν <=> О. Це обумовлено тим, що у цьому разі немає потреби враховувати складову І, тому що ця частина працівників знаходить роботу самостійно й не претендує на вільні робочі місця.
Таким чином, баланс ринку праці в промисловості матиме такий вигляд:
Інші реферати на тему «Економіка підприємства»:
Системи преміювання
Фактори, які впливають на організацію фінансів підприємств, порядок оформлення відкриття фінансування капітальних вкладень підприємства в банку
Соціальна політика та соціальний захист населення
Шляхи підвищення продуктивності праці персоналу на виробничому підприємстві
Класифікація за статусом зайнятості
