Сторінка
2
6) Відносні величини інтенсивності (ВВІ) характеризують рівень розповсюдження або розвиток даного явища в тому чи іншому середовищі. Наприклад, при вивченні демографічних процесів розраховують показник народжуваності, смертності, природного приросту, шлюбів і розлучення і т.ін. як відношення (народжених або померлих) до 1000 чоловік, або до 10000 чоловік чи 100 000. Наприклад: по Хмельницькій області кількість померлих на 100 000 населення склала, чол.:
| 1995 | 1997 | 1998 | 1999 |
| 119,8 | 114,5 | 112,5 | 110,5 |
Шлюби і розлучення по Івано-Франківській області
| Показники | 1995 | 1997 | 1998 | 1999 |
| Кількість зареєстрованих шлюбів | 12801 | 10422 | 9591 | 10526 |
| на 1000 чол. населення | 8,5 | 7,0 | 6,5 | 7,2 |
| Кількість зареєстрованих розлучень | 4812 | 4621 | 4550 | 4430 |
| на 1000 чол. населення | 3,2 | 3,1 | 3,1 | 3,0 |
Серед узагальнюючих величин або показників, що застосовуються для вивчення суспільних явищ і виявлення закономірностей їх розвитку, велике значення мають середні величини. Це пояснюється тим, що статистика вивчає сукупності за варіюючими ознаками, зміна яких проявляється у зміні їх кількісних значень в окремих одиницях цих сукупностей. На величину індивідуальних значень кожної одиниці спостереження діють декілька причин, певний вплив мають також і їх індивідуальні особливості.
Наприклад, розподіл робітників двох підприємств можна охарактеризувати за їх кваліфікацією, яка може бути представлена розрядом робітника. Для цього слід розрахувати показник середнього розряду окремо по кожному підприємству. Одержані середні дані можна порівняти і визначитись, на якому з підприємств рівень кваліфікації вищий.
В статистиці середня величинає одним з найбільш поширених способів узагальнення.
Середня величина – це узагальнюючий показник, який характеризує рівень явища і виражає середню ознаку даної сукупності. Середня ознака завжди узагальнює кількісну варіацію ознак. Наприклад, середня заробітна плата на даному підприємстві становить 150 грн., середня урожайність ранніх зернових або урожайність зернових культур і т.ін.
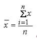
Середні величини, що застосовують у статистиці, належать до класу степеневих. В узагальненій формулі степенева середня має такий вигляд:
де х – індивідуальні значення варіюючої ознаки (варіанти); т – показник степені середньої; п – число варіантів.
Зміна значення ступеня m визначає вид середньої.
Формули степеневих середніх:
при m=0 вона має вид середньої геометричної:
- геометрична
при m=1 вона має вид середньої арифметичної:
- арифметична
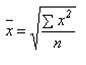
при m=-2 вона має вид середньої квадратичної:
при m=-1 вона має вид середньої гармонійної:
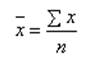
Середня арифметичнавеличина – це один із поширених видів середньої. Вона застосовується у тих випадках, коли обсяг варіюючої ознаки для всієї сукупності являє собою суму індивідуальних значень її окремих елементів.
Середня арифметична буває простою і зваженою. Середня арифметична проста розраховується по формулі:
,
де х – показник індивідуального значення; п – кількість показників.
Наприклад, урожайність пшениці на трьох полях склала відповідно 25, 30 і 40 цнт з 1 га. Знайти середню арифметичну просту:
![]()
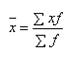
Середня арифметична зважена розраховується за формулою:
де х – показник індивідуального значення однієї системи або сукупності; f – показник індивідуального значення іншої системи або сукупності, який має логічний зв’язок з системою показника – х; xf – розрахунковий показник.
Наприклад, необхідно визначити середню кількість дітей в одному таборі, якщо відомі наступні показники:
Інші реферати на тему «Економіка підприємства»:
Резервний капітал, його види і джерела фінансування
Аналіз використання МТП
Майно підприємства: загальні положення, характеристика майна за розміщенням, складом, джерелами утворення
Аналіз господарської діяльності підрозділу ВАТ Київська поліграфічна фабрика “Зоря”
Статутний капітал підприємництва – важливе формування його активів
