Сторінка
2
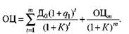
Якщо сума дивідендів за акціями підприємства збільшується перші m років за ставкою q1, а потім за ставкою q2, то ціна акції становитиме
Це нинішня вартість дивідендів за перші m років плюс нинішня вартість акції наприкінці m-го періоду.
Таким чином, ухвалення рішення про випуск акцій — це складне фінансове питання. Для його обґрунтованого вирішення потрібно визначити: витрати випуску; номінальну ціну акції, яка буде вигідна і для підприємства, що випускає акції, і для інвестора; очікувану ринкову ціну акції у процесі її обігу. Остання, у свою чергу, залежить від очікуваних дивідендів і прогнозованої віддачі на капітал. Рівновага на ринку настає тільки за рівності віддачі, що її може запропонувати підприємство-емітент, і віддачі на капітал, яка влаштовуватиме інвестора.
Без попереднього аналізу доцільності випуску акцій підприємство може намарне витратити гроші на підготовку емісії. Необгрунтований випуск акцій як замінників грошей підштовхне інфляцію. Неприпустимо випускати акції без попереднього розрахунку очікуваного дивіденду і ринкової ціни. Це може призвести до підвищення нестабільності економіки і похитнути довіру населення до акціонування.
З погляду інвестора, власність на звичайні акції має певні переваги. По-перше, процвітання підприємства веде до підвищення номінальної вартості акцій завдяки нарощуванню вартості майна підприємства і, отже, до збільшення суми дивідендів. По-друге, звичайні акціонери мають право голосу, що дає можливість контролювати управління підприємством. По-третє, якщо йдеться про акції відомих компаній, які працюють стабільно, у разі потреби їх легко продати.
Привабливий варіант випуску звичайних акцій і для підприємства-емітента. За звичайними акціями на відміну від зобов’язань за облігаціями не обов’язково виплачувати дивіденди, якщо справи підприємства йдуть погано або якщо керівництво вважає за доцільне наголосити на фінансуванні розвитку підприємства.
Водночас звичайні акції, з погляду емітента, мають певні недоліки. По-перше, збільшення обсягу акціонерного капіталу веде до збільшення чисельності його власників і відповідно до потенційної можливості втрати контролю над компанією з боку засновників. По-друге, практика показує, що весь необхідний капітал неможливо одержати тільки за допомогою випуску звичайних акцій. По-третє, випуск акцій може згодом обернутися для підприємства великими витратами порівняно з випуском облігацій, оскільки незважаючи на те що сума дивідендів за акціями регулюється залежно від фінансового стану підприємства, їх треба виплачувати постійно.
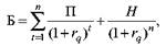
Отже, ми визначили вартість акції як нинішню вартість майбутнього потоку доходів інвестора. Аналогічний підхід використовуються і для оцінювання вартості боргу. Якщо підприємство одержує позику, зобов’язується виплачувати інвестору постійний щорічний прибуток П і погасити через п років суму Я, то нинішню вартість боргу Б можна визначити так:
Таким чином, ціна фінансових ресурсів, узятих у борг, містить два компоненти: ціну щорічних виплат відсотка і вартість виплат при погашенні поточного боргу.
Список використаної літератури
1. Федоренко В. Г. і К°. Інвестування. Зайнятість. Освіта. — К.: Науковий Світ, 2002.
2. Федоренко В. Г. і К°. Шляхи підвищення ефективності інвестицій в Україні.: — К.: Науковий Світ, 2003.
3. Федоренко В. Г. Інвестиційний менеджмент. —К.: МАУП, 1999.
4. Федоренко В. Г. Інвестиції і капітальне будівництво в ринкових умовах. — К.: Міжнар. фінанс. агенція, 1998.
5. Федоренко В. Г. Перспективи розвитку капітального будівництва за ринкових умов // Про приватизацію: Держ. інформ. бюл. — 1997. — № 2.
6. Федоренко В. Г. Створення промислово-фінансових груп і проблеми управління корпоративними правами // Про приватизацію: Держ. інформ. бюл. — 1999. — № 2.
7. Федоренко В. Г., Бондаренко Е. В. Будівництво та інвестиції в Україні. — К: Знання, 1998.
8. Федоренко С. В. Проблеми залучення іноземних інвестицій і розвиток економіки України // Про приватизацію: Держ. інформ. бюл. — 1999. — № 2.
9. Федотова М. А. Доходи предпринимателя. — М.: Финансьі и статистика, 1993.—96 с.
10. Чернявский А. Д. Организация управления в условиях рыночных отношений. —К.:МЗУУП, 1994.
11. Чернявский А. Д. Современные тенденции развития организационных форм управлення в Украине // Персонал. — 1997. —№4. — С. 3-7.
12. Чернявский А. Д. Трансформация организационных форм управления в процессе развития рыночных отношений // Персонал. — 1996. —№2. — С. 22-36.
13. Шевчук В. Я. Умови ефективного інвестування в будівництві. — К.: Будівельник, 1991. —112 с.
14. Шпек Р. Іноземні інвестиції в Україні // Уряд, кур'єр. — 1996. — № 62. — 2 квіт. — С. 5.
15. Щекин Г. В. К разработке концепции управления современным обществом // Персонал. — 1999. — № 1. — С. 1-23.
16. ЩукінБ. М. Інвестиційна діяльність. — К.: МАУП, 1998.
17. Эклунд К. Эффективная экономика — шведская модель. — М.: Экономика, 1991. —349 с.
18. ЯкушинЛ. С. Строительство инвестиции//экономика стрва. —1991. — № 4. — С. 59-62.
1 2
Інші реферати на тему «Державне регулювання економіки»:
Основні економічні передумови відродження фінансового ринку інвестицій
Розрахунок показників для визначення ефективності інвестицій
Показники фінансової стабільності й інтенсивності використання капіталу підприємства
Роль і значення прямих іноземних інвестицій та їх активи
Послідовність розробки інвестиційного бізнес-плану
