Сторінка
1
Будівництво автомобільних доріг вносить значні зміни у навколишнє середовище. Залежно від виду дорожніх робіт, зміни у природі призводять насамперед до порушення рельєфу, мікроклімату й особливо ґрунтового покриву.
Для запобігання таким змінам під час будівництва доріг застосовується комплекс заходів, які наведені у табл. 8.7.
У процесі спорудження автомобільних доріг рекультивацію територій проводять у межах смуги тимчасового відведення (рис. 8.1) і там, де верхні родючі шари ґрунту були пошкоджені або знищені повністю. Це насамперед території, зайняті тимчасовими дорогами, стоянками дорожніх машин у період будівництва, кар'єрами, дорожньо-будівельними матеріалами, боковими резервами, смугами між земельним полотном і нагірними канавами тощо. У межах територій, відведених для спорудження земельного полотна дороги, атакож призначених для розміщення нагірних канав, зрізок для забезпечення видимості дорожніх розв'язок, стоянок для автомобілів і майданчиків відпочинку, будинків дорожньо-експлуатаційних організацій тощо рекультивації підлягають прилеглі території, порушені у процесі будівництва названих споруд. Самі споруди оформляють відповідно до їх призначення та архітектурно-технічних вимог.
Перед початком будівельних робіт у межах смуг постійного і тимчасового відведення верхній шар ґрунту знімають та складують у відвали для покриття узбіччя, розподільної смуги й укосів земельного полотна, рекультивації порушених земель. Частину ґрунту використовують для збагачення малопродуктивних сільськогосподарських земель.
Зміни у природному середовищі, викликані будівництвом доріг
Якщо в межах дорожньої смуги є будинки й споруди, на них складають креслення з поясненнями, що характеризують їх конструкцію і стан. На сади та посіви сільськогосподарських культур, що увійшли до смуги відведення, складають акти для відшкодування збитків землекористувачам.
Ширину смуги відведення визначають за розмірами підошви насипу і виїмок по верху з урахуванням бокових і забанкетних канав, банкетів та запобіжних смуг завширшки 1 м з кожного боку дороги.
Для визначення меж зняття ґрунту проводять розбивку насипу і виїмок з урахуванням бокових канав та резервів. Цю роботу виконують на основі винесеної осі дороги і пікетів, лінії перетинання укосів насипу або виїмки.
Рис. 8.1. Схема зняття родючого грунту і розташування відвалів
у поперечному профілі дороги
а) - у насипі від 3 до 6 м; б) - у насипі від 6 до 12 м; в) - у виїмці; 1 -тимчасові проїзди; 2 - відвали родючого грунту; 3 - шар грунту, який згортається (за В.П. Старовойдою і П.П Дзюбою, 1987).
Поверхню землі позначають кілками або борозною, яку прокладають автогрейдером.
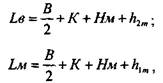
Ширину земельного полотна визначають за формулою згідно з схемою, наведеною на рис. 8.2.
Рис. 8.2. Схема розбивки поперечного профілю дороги на косогорі (за В.П. Старовойдою і П.П. Дзюбою, 1987)
де В - ширина дорожнього полотна, м;
К- ширина бічної канави по верху, м;
Η - глибина виїмки, м;
w - коефіцієнт закладання укосу;
h1 і h2 - відстані від горизонтальної лінії до точок виходу укосу на поверхню з нижнього і верхнього боків, м.
Тимчасові відвали ґрунту облаштовують на відстані 4-5 м від межі земельного полотна заввишки не менше 2 м з укосами 1:1,45.
З метою запобігання ерозії укосів, руйнуванню ґрунтів і поширенню бур'янів поверхню відвалів за тривалого зберігання рекомендується залужувати.
Після спорудження земельного полотна на узбіччя, укоси, резерви наносять шар родючого ґрунту, і поверхню планують дорожніми машинами. Упродовж дальшої підготовки території проводять глибоке безполичне розпушування ущільненого ґрунту для створення сприятливих умов розвитку кореневої системи рослин.
Земельне полотно вважають готовим до наступного етапу роботи, якщо закінчена рекультивація притрасових резервів, кар'єрів, тимчасових доріг і з'їздів.
На основі аналізу водно-теплового режиму земельного полотна доріг, способів обробітку ґрунту та особливостей росту різних сільськогосподарських культур Л.Л. Лясковський (1979) рекомендує встановлювати такі категорії рекультивації:
- для забезпечення стійкості верхнього шару грунту проти водної ерозії ухил поверхні території після планування не повинен перевищувати 100 %. Цей критерій відповідає також умовам кращого зберігання вологи у ґрунті;
- для збереження родючості ґрунту товщина відсипного його родючого шару повинна бути такою ж, як і на основному полі;
- для зручності обробітку ґрунту поверхня притрасових резервів після їх рекультивації повинна відповідати певній рівності, яку оцінюють у поперечному профілі стрілою вгинання. За умови 4-метрової довжини рейки стріла вгинання не повинна перевищувати 0,05м. Ця величина визначена на основі параметрів сільськогосподарських машин із шириною захоплення до 4 м. Виходячи з цього, поперечний профіль притрасового резерву після рекультивації повинен мати обрис дуги на параболи або параболи, поєднаної з дотичною допустимого ухилу (рис. 8.3.).
Інші реферати на тему «Географія фізична, геологія, геодезія»:
Зональні особливості малих річок України та їхніх долин
Кримські гори, рослинність Кримських гір
Науково-пізнавальні можливості цифрових моделей поверхні землі
Принципи і методи створення рослинного покриву
Енергетичний потенціал відновлюваних та нетрадиційних джерел енергії України: енергія вітру, сонячна енергія ,енергія малих рік, енергія біомаси
