Сторінка
5
Для цього необхідно використати можливості групового введення даних, аби уникнути помилок під час заповнення комірок і введення формул у різних робочих листах книги. При груповому введенні інформація (у тому числі формули) вводиться одночасно в кілька робочих листів.
Зручно перед уведенням інформації надати необхідні імена робочим листам, двічі клацнувши лівою кнопкою миші на ярлику листа або клацнувши правою кнопкою миші (ПКМ), а далі обрати опцію "Переименовать".
Для введення форми "Баланс" в робочі листи з ярликами Б1, Б2, . потрібно, утримуючи натисненою клавішу Ctrl на клавіатурі, клацнути ЛКМ на ярликах. Аналогічно виділяються листи з назвами 31, 32, . для введення форми "Звіт про фінансові результати".
Інший спосіб уведення інформації в групу листів: клацнути ПКМ на ярлику будь-якого листа та обрати опцію "Выделить все листы", далі, утримуючи клавішу Ctrl, клацнути ЛКМ на ярликах листів, які виділяти не треба.
Зазначимо, що для всіх підприємств один і той самий показник має однакову адресу, наприклад "Кошти на кінець року" — Б1! D25, Б2! D25 . (змінюються лише номери балансових робочих листів).
3. Створення робочої таблиці "Аналітичні показники фінансового стану підприємства"
Із широкого переліку аналітичних показників для подальшого визначення рейтингу підприємств аналітик установлює ту сукупність, що найсуттєвіше впливає на інвестиційну привабливість підприємств. Ці показники розраховуються на базі даних попередніх листів у листі "Аналітичні показники фінансового стану" за формулами, наведеними в [14, дод. 2].
До переліку слід включати показники однієї бажаної спрямованості; наприклад, по всіх показниках зростання їх кількісного значення означає поліпшення фінансового стану підприємства. Іншими словами, у одному переліку з показниками платоспроможності може бути коефіцієнт автономії, а обернений до нього коефіцієнт фінансової залежності — ні. До переліку можна додавати узагальнюючі показники — тести, наприклад, з оцінки ймовірності банкрутства (індекси Альтмана 1983 р., Лиса, Таффлера, Бівера та ін.), якщо вони розраховуються за вихідними даними форм фінансової звітності.
4. Розрахунки аналітичних показників фінансового стану підприємства
У робочому листі послідовно розраховуються показники для першого підприємства. Після позначення комірки вводиться формула: спочатку знак "=", далі абсолютні ($) адреси комірок, що містять відповідні дані на листах робочої книги, розділені знаками арифметичних дій. Ім'я потрібного листа вводиться в одинарних лапках і завершується знаком оклику. При введенні формул зручніше натисканням ЛКМ позначити необхідну комірку, аніж набирати адресу з клавіатури. За будь-якого способу набору введення формули завершується натисканням клавіші Enter.
5. Копіювання формул для визначення аналітичних показників фінансового стану сукупності підприємств
Робочий лист "Аналітичні показники фінансового стану". Після обчислення показників для першого підприємства треба виділити комірку з позначкою Р1 — підприємство 1, далі показати курсором на правий нижній куточок рамки, де є чорний прямокутник — автозаповнювач, і в той момент, коли курсор набуде вигляду чорного хрестика, натиснути ЛКМ і розтягнути виділення на нижні комірки стовпця. Отже, виконуючи автозаповнення, треба скопіювати також формули для обчислення аналітичних показників фінансового стану. Номери комірок, зазначені у формулах, необхідно зафіксувати знаком “$”, використовуючи абсолютну адресацію, і змінити адреси робочих листів: першому підприємству відповідає лист Б1, другому -Б2 і т. ін.
6. Створення робочої таблиці “Узагальнюючі показники фінансового стану підприємств"
На робочому листі відображуються значення аналітичних показників, на основі яких обчислюються узагальнюючі показники. У табл. 4 наведено фрагмент форми, за якою виконуються розрахунки.
Умовні позначення: а - значення відповідного аналітичного показника; N - місце, що його посіло підприємство за цим показником, підраховувалося за допомогою функції Excel РАНГ; х - коефіцієнт відношення значення показника а конкретного підприємства до найкращого значення показника а . по сукупності підприємств.
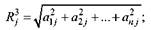
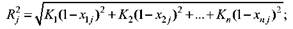
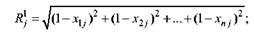
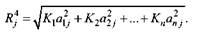
Узагальнюючі показники фінансового стану можна визначати за такими формулами [42]:
. середньоквадратичне відхилення показників j-го підприємства від найкращих їх значень
• середньоквадратичне відхилення показників j-го підприємства від найкращих їх значень з урахуванням вагових коефіцієнтів
• середньоквадратичне значення показників j-го підприємства
• середньоквадратичне значення показників j-го підприємства з урахуванням вагових коефіцієнтів
7. Визначення рейтингу підприємств за різними узагальнюючими критеріями інвестиційної привабливості
Рейтинг підприємств визначається за п’ятьма критеріями. А. Середньоквадратичне відхилення з урахуванням вагових значень показників - “сума місць”
де N -місце, що його посіло підприємство за значенням m-то аналітичного показника; наприклад, якщо N = 1, то має найкраще значення; Km - ваговий коефіцієнт m-то аналітичноajо показника. У функціях Excel: найкраще значення суми місць найменше.
Б. Рейтинг за узагальнюючим критерієм R) визначається як місце
підприємства за цим значенням: найменше значення - перше місце. У створеній робочій книзі він визначається за допомогою функції РАНГ:
де D40 - адреса комірки зі значенням критерію для конкретного підприємства; $D$40:$L$40 - масив комірок, серед яких виконується ранжування за значенням; 1 - число, що означає спосіб упорядкування (0 - упорядкування за зменшенням, ненульове число -упорядкування за збільшенням).
Найменше значення рейтингу R) найкраще.
В. Рейтинг за критерієм R) визначається аналогічно до рейтингу за R) . Найменше значення найкраще.
Г. Рейтинг за критерієм Rj визначається упорядкуванням за зменшенням:
Інші реферати на тему «Фінанси»:
Доходи державного бюджету України
Фінансове забезпечення бюджетних установ
Дисконтування. Його сутність. Методичний інструмент для визначення наявних вигод та витрат при проведенні економічного аналізу. Його сутність
Аналіз виробничо-господарської діяльності підприємства, що перебуває в кризі
Фінансовий лізинг – один із способів відтворення основних засобів
