Сторінка
1
1. Дисконтування. Його сутність
Теоретична основа. Припустимо, що сьогодні ви відвантажили покупцю партію вантажу. Він пропонує заплатити вам 100 дол. сьогодні або 120 дол. через рік. Який варіант є більш вигідним для вас, якщо процентна ставка за доларовими депозитами становить 10% річних?
Ви можете розрахувати суму, яку б ви одержали у разі сьогоднішнього надходження грошей на рахунок у банку з їх подальшим розміщенням на депозит у банк під 10% річних. Це сума буде становитиме: 100 + (100 * 0,10) = 100 (1 + 0,10) = 110.
Таким чином, ви змогли б одержати 110 дол. Зрозуміло, друга пропозиція вашого покупця є більш привабливою для вас. Щоб визначити, якою має бути ставка за доларовими депозитами, з тим щоб ви могли одержати через рік 120 дол., треба зробити такі розрахунки:
100 (1+X) = 120
1+X = 120/100
1+X = 1,2
X = 0,2 тобто 20%
Припустимо, що ви хотіли б одержати гроші за свій товар сьогодні, але хочете дізнатися, яку суму ви повинні були б вимагати, щоб її еквівалент через 1 рік становив 120 дол. Цей розрахунок проводиться так:
X (1+0,10) = 120
X = 120 / (1+0,10)
X = 109,09
Таким чином, формулу чистої сьогоднішньої вартості для цього прикладу можна було б визначити як:
ЧСВ = МН (1 + n),
де ЧСВ - чиста сьогоднішня вартість,
МН - майбутні надходження,
п - проценти.
У тому разі, коли такий розрахунок здійснюється на два роки, а гроші надійдуть через два роки, ця величина дорівнюватиме:
ЧСВ = МН (1 + п)(1 + n)
Загальну формулу ЧСВ для (н) років можна виразити так:
Якщо ЧСВ інвестиційного проекту більше 0, то такий проект може бути запропонований для реалізації. У тому разі, коли цей розмір менше 0, необхідно відмовитися від проекту.
Методика, використовувана для розрахунку ЧСВ, називається дисконтуванням.
Практичне застосування. Про часте застосування цього методу, як і деяких інших, у практиці зарубіжних компаній можна дізнатися з підрозділу 1.6. Розглянемо простий приклад, як метод чистої сьогоднішньої вартості може бути використаний під час вибору устаткування.
Приклад. Припустимо, що підприємству А запропонували придбати два верстати - один вартістю 20 тис. дол., а другий - 25 тис. дол. Кожний із цих верстатів дає можливість зменшити оперативні витрати підприємства на наведені нижче суми. Вартість двох верстатів через п'ять років користування дорівнюватиме 0. Який із верстатів слід вибрати підприємству А, якщо для їх придбання воно може одержати кредит під 12% річних?
Розв'язання. Розрахуємо ЧСВ використання цих верстатів:
Таким чином, наведені вище розрахунки показують, що економічніше буде придбати верстат 1. Придбання верстата 2 недоцільне. Переваги методу. До переваг цього методу можна віднести:
* можливість найточніше враховувати зростання вартості майна акціонерів;
* можливість урахування впливу часу на грошові потоки, що надходять у результаті реалізації проекту;
* легкість використання методу спеціалістами;
* використання для розрахунку показника всього грошового потоку проекту;
* можливість використання різних рівнів вартості капіталу (відсотків).
СТАВКА ДИСКОНТУВАННЯ ТА ІНФЛЯЦІЯ. Коли людина йде до банку і вкладає гроші на депозитний рахунок, вона відмовляється від їх споживання в даний момент. За таку відмову вона хоче одержати певну плату, припустимо 10 %, щоб мати через рік можливість спожити більшу кількість товарів. Чи означає це, що через рік її купівельна спроможність збільшиться на 10%?
Звичайно, що ні, якщо в суспільстві існує інфляція. Припустимо, що її рівень становить 6 %. Це означає, що одиниця товару, яка коштує сьогодні 1 дол., завтра коштуватиме 1, 06 дол. Нехай людина поклала в банк 100 дол. на один рік, а по завершенні цього року отримала 110 дол. Вона вважає, що за 110 дол. зможе придбати 110 одиниць товару, які у минулому році коштували 1 дол. Але це не так, вона зможе придбати лише 110/1,06 = 103,8 одиниць товару. Тобто купівельна спроможність людини зросла тільки на 3,8%, а іншу суму "з'їла" інфляція.
Для аналізу впливу інфляції на ставку дисконтування використовують такі визначення:
* реальна ставка - ставка, на яку реально збільшується купівельна спроможність (у нашому випадку 3,8 %).
Ця ставка не враховує інфляції;
* номінальна ставка - ставка, на яку номінально (теоретично) збільшується купівельна спроможність (у нашому випадку 10%). Ця ставка враховує інфляцію.
Для розрахунку реальної ставки застосовують таку формулу:
ВИБІР СТАВКИ ДЛЯ ДИСКОНТУВАННЯ. Загальним принципом під час оцінювання інвестиційних проектів є те, що для дисконтування слід використовувати ту ставку, яка була взята для розрахунку грошового потоку.
Тобто у разі використання номінальної ставки дисконтування необхідно враховувати номінальний грошовий потік, а при використанн реального грошового потоку - реальну ставку, о ° випадках результати мають бути однаковими.
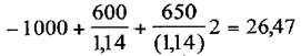
Приклад. Припустимо, що підприємство А має так номінальний грошовий потік: рік 0 - 1 000 рік 1 600 рік 2 650
Номінальна ставка процента дорівнює 14 %, а індекс інфляції прогнозується на рівні 5%. Яка ж ЧСВ проекту?
Розв'язання. При використанні номінальних значень ЧСВ дорівнює:
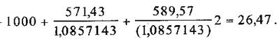
Використовуючи реальні значення необхідно спочатку визначити реальний грошовий потік:
Реальна ставка процента дорівнює:
ЧСВ дорівнює:
Як бачимо, в обох випадках значення ЧСВ однакове. Для оцінювання інвестиційної привабливості застосовують п ять основних методів, про які мова йшла вище.
Дослідження показують, що найпоширенішими є методи чистої сьогоднішньої вартості і періоду повернення вкладених інвестицій. При цьому методи розрахунку дисконтуванням широко використовуються в США і поступово набувають популярності в інших країнах.
Великий вплив на оцінку ефективності капіталовкладень має рівень інфляції.
Для урахування інфляції при оцінюванні інвестиційного проекту застосовують два методи:
1. Аналіз реального грошового потоку, при визначенні якого використовуються ціни без урахування інфляції;
2. Аналіз номінального грошового потоку, при розрахунку якого використовуються ціни з урахуванням інфляції.
2. Методичний інструмент для визначення наявних вигод та витрат при проведенні економічного аналізу. Його сутність
Етимологічне слово «аналіз» (від грецького апа lisis) означає розгляд, вивчення, наукове дослідження будь-чого шляхом розчленування, розкладання цілого на його складові. Таке розчленування дає можливість з'ясувати внутрішню суть і природу процесів та явищ, їх залежність від різноманітних факторів, оскільки без такого розчленування (реального або уявного) глибоке вивчення більшості предметів і явищ, що відбуваються у природі та суспільстві, неможливе. Аналіз по суті являє собою неодмінний атрибут діяльності людини у будь-якій сфері буття.
Інші реферати на тему «Фінанси»:
Фінансова діяльність держави. Організація страхування в Україні і відносини, що регулюються в ньому фінансовим правом. Правові основи та особливості фінансування видатків енергетики та транспорту
Видатні фінансисти – лауреати Нобелівської премії у сфері економіки, їх вплив на формування фінансової науки
Доходи державного бюджету України їх склад і структура
Використання матеріальних ресурсів на ВАТ «Котельно-зварювальний завод № 63»
Передумови та періоди становлення валютного ринку України
