Сторінка
1
Види взаємозв'язків соціально-економічних явищ
Необхідною умовою ефективного управління соціально-економічними явищами і процесами є вивчення їх залежності від основних визначальних факторів. Статистичний аналіз покликаний кількісно охарактеризувати відповідні причинні зв'язки. Причини та умови, які визначають взаємозв'язки, об'єднують у поняття "фактори", а наслідки — у поняття "результати".
Розрізняють кілька типів зв'язків між явищами та їх ознаками.
Функціональний, або жорстко детермінований, зв'язок проявляється тоді, коли із зміною однієї ознаки друга змінюється строго певний спосіб, тобто зміні однієї змінної обов'язково відповідає точно задане значення (одне або кілька) іншої змінної.
Стохастичний зв'язок між випадковими величинами проявляється тоді, коли зміна розподілу однієї з них відбувається під впливом зміни розподілу іншої.
Кореляційний зв'язок — найважливіший частковий випадок стохастичного зв'язку, коли різним значенням однієї змінної відповідає середнє значення іншої.
Форми кореляційного зв'язку
Під формою кореляційного зв'язку розуміють тип аналітичної формули, яку використовують для вираження залежності між соціально-економічними явищами. При встановленні форми такого зв'язку розрізняють зв'язок прямий, коли зі збільшенням факторної ознаки у результативної ознаки виявляється тенденція до збільшення, а зі зменшенням факторної ознаки — тенденція до зменшення, і зворотний зв'язок, коли ці тенденції різні.
Вибираючи формулу кореляційного зв'язку, насамперед виходять з економічної природи явищ, простоти аналітичної функції і вимог до обмеженої кількості параметрів.
Рівняння кореляційного зв'язку є аналітичним. За його допомогою відображається взаємозв'язок ознак, а саме залежність між варіаціями результативної і факторної ознак.
Найчастіше використовують такі рівняння:
• прямої лінії
• гіперболи
• параболи другого порядку
• експоненти
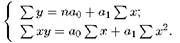
Аналітичне рівняння кореляційного зв'язку і його параметри визначають методом найменших квадратів, використовуючи систему нормальних рівнянь. Так, для прямої лінії використовують таку систему нормальних рівнянь:
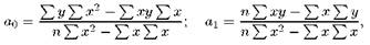
При цьому параметри обчислюють за формулами
де aо — вільний член рівняння, значення у при х =0; a1 — коефіцієнт регресії, що має розмірність результативної ознаки і показує, як змінюється середнє значення результативної ознаки залежно від зміни факторної ознаки на одиницю.
Оцінка щільності зв'язку
Оцінка щільності зв'язку — це характеристика ступеня залежності між; ознаками. Показниками щільності зв'язку є коефіцієнти парної, часткової і множинної кореляції та детермінації, рангові коефіцієнти, коефіцієнти асоціації, взаємної спряженості та ін.
Вибір відповідного коефіцієнта залежить від виду випадкової величини, форми їх залежності, закону розподілу. Для оцінки суттєвості зв'язку використовують критерії значущості.
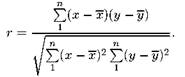
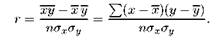
Найчастіше використовують лінійний коефіцієнт кореляції, який обчислюють за формулою
Модифікація цього коефіцієнта
Часто для розрахунку лінійного коефіцієнта кореляції використовують формулу, до якої входять суми, на основі яких розраховані показники, що використовуються у формулі
Коефіцієнт r змінюється в межах ±1. Додатне значення цього показника свідчить про прямий зв'язок, від'ємне — про зворотний. Що більше значення r, то щільніший зв'язок між y та x і навпаки.
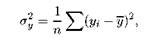
Оцінка щільності нелінійного зв'язку ґрунтується на співвідношенні варіацій теоретичних (отриманих на основі рівняння регресії) та емпіричних (фактичних) значень результативної ознаки y. При цьому використовують загальну дисперсію, яка характеризує варіацію ознаки навколо загальної середньої:
де n — кількість первинних даних; y і — індивідуальне значення спостереження; yі — значення результативної ознаки, обчисленої за рівнянням регресії.
У регресійному аналізі загальна дисперсія — це відхилення лінії регресії від загальної середньої, що характеризує факторну дисперсію і обчислюється за формулою
і відхилення індивідуальних значень від лінії регресії, що характеризує залишкову дисперсію (σ2) і обчислюється за формулою
де y — загальна середня.
За правилом розкладання варіації
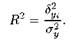
Що більше значення факторної дисперсії, то істотніше фактор xвпливає на y. На цьому побудована оцінка щільності кореляційноговзаємозв'язку, мірою якого є коефіцієнт детермінації (R2):
Значення R2 показує, скільки відсотків варіації результативної ознаки x залежить від варіації факторної ознаки x.
Індекс кореляції
У разі лінійної залежності
Інші реферати на тему «Фінанси»:
Фінансовий контроль: поняття та призначення, види, методи, органи управління
Програмно-цільовий метод у бюджетному процесі та особливості його запровадження в Україні
Валютний ринок
Місце і стан неторгових операцій в діяльності комерційних банків України
Аналіз бюджетного дефіциту України та методи його подолання
