Сторінка
4
• графічним методом;
• за допомогою таблиці процентного фактора теперішньої вартості ануїтету (для проектів з постійними грошовими потоками протягом усього періоду економічного життя проекту).
Аналіз і прогноз кон'юнктурних коливань інвестиційного ринку
Важливим моментом аналізу і прогнозування динаміки та кон’юнктури інвестиційного ринку є моделювання відповідних кон’юнктурних коливань. Під кон'юнктурою інвестиційного ринку розуміють економічну ситуацію, що склалася на ринку на певний момент часу і характеризується співвідношенням попиту та пропозиції, рівнем цін і сукупністю факторів внутрішнього та зовнішнього середовища.
Для моделювання вихідними є дані динамічних рядів. Залеж-но від наявності інформації за днями, декадами, місяцями, кварталами, роками виокремлюють певні компоненти інвестиційних кон’юнктурних коливань.
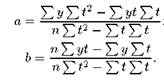
• Тренд (Т), або характеристика основної тенденції динамічного ряду. У цьому разі при моделюванні тренду використовують відповідні рівняння для визначення тренду:
yt = a + bt,
де t — порядковий номер часового періоду, який характеризує вплив на залежну змінну всіх інших факторів, зокрема тих, що враховуються та змінюються пропорційно часу.
Параметри рівняння визначають методом визначників:
• Потім розраховують індекси сезонності й середньомісячні значення інвестицій:
• Паралельно розраховують узагальнюючу характеристику внутрішньо річних коливань за кожним з порівняльних показників кон’юнктури за допомогою показників варіації:
При порівнянні різних показників визначником є коефіцієнт варіації.
Прогнозування. Розглянемо основні етапи розробки прогнозу.
1. Окреслення періоду (горизонту) прогнозу.
2. Добір і аналіз факторів, які впливають на ринок інвестицій.
3. Кількісна оцінка ступеня впливу цих факторів.
4. Моделювання процесу розвитку ринку.
5. Прогнозування ринку.
Використовують такі методи прогнозування:
• метод експертних оцінок, заснований на досвіді вчених і спеціалістів-практиків, які розробляють альтернативні оцінки і гіпотези, ідеї та концепції з визначенням шляхів їх реалізації;
• нормативний метод, що вказує на можливі шляхи та строки досягнення необхідного перспективного рівня показників ринку інвестицій відповідно до цільових нормативів;
• інформаційно-статистичні методи: екстраполяція на основі числових рядів, екстраполяція структур, економіко-математичне моделювання тощо.
Останні методи є найпоширенішими внаслідок імовірнісної природи прогнозів.
При вивченні зв'язку між попитом на інвестиції (y) та факторами, що його визначають (x1, . ,xn), використовують моделі типу y =
f ( x1, x2, . . . , xn, t ).
• лінійні — y = a0 + a 1 x 1 + a2x2 + . + anxn + an+1t;
• експоненційні — y =e f (Х1'••• 'Хп'г) тощо.
Параметри моделі (aо,a\, . ,aп) розраховують методом найменших квадратів.
За допомогою рівняння тренду yt = f(t) описують тенденцію розвитку на основі рядів динаміки. Функціональний вигляд рівняннятренду відображає притаманний ряду характер динаміки.
Перевага надається функціям, параметри яких вимірюють абсолютну чи відносну швидкість розвитку, зокрема:
• лінійна — y = aо + ait;
• парабола другого порядку — y = aо + a\t + a t;
• експонента — y = aoeait.
Параметр a і у лінійній функції відображає приріст, в експоненті — стабільний темп приросту, у параболі — початковий абсолютний приріст; параметр aі в параболі — прискорення. В усіх цих функціяхt — порядковий номер періоду, aо — рівень ряду при t =0.
Для визначення придатності трендових функцій використовують середню квадратичну похибку:
де n — кількість членів динамічного ряду; m — кількість параметрів функції; yt — члени емпіричного ряду; Yt — члени теоретичного ряду, обчисленого за рівнянням тренду.
Моделювання розвитку передбачає якісну однорідність динамічного ряду.
Методи статистичного аналізу та прогнозування доцільно використовувати на всіх рівнях обґрунтування управлінських рішень —від окремого підприємства до галузі, виду діяльності, регіону, економіки загалом.
Список використаноїлітератури
1. Банківська статистика: Опорний конспект лекцій / А. В. Головач, В. Б. Захожай, Н. А. Головач. — К.: МАУП, 1999.
2. Бланк И. А. Инвестиционный менеджмент. — К. 1995.
3. Бланк И. А. Основы финансового менеджмента: В 2 т. — К.: НИКА-Центр, 1999.
4. Грабовецький Б. Є. Методичні вказівки до вивчення курсу "Загальна теорія статистики". — Вінниця, 1999.
5. Захожай В. В., Шепітко Г. Ф. Статистика ринку товарів та послуг. — К.: Вид-во УФІМВ, 1998.
6. Збірник задач зі статистики / За ред. А. В. Головача, А. М. Єриної, О. В. Козирева, С. С. Герасименка. — К.: Вища шк., 1994.
7. Єріна А. М. Статистичне моделювання та прогнозування: Навч. посіб. — К.: Вид-во КНЕУ, 2001.
8. Ерина А. М., Пальян 3. О. Теория статистики: Практикум. — К.: Т-во "Знання", 2001.
9. Мазаракі А. А., Лігоненко Л. О., Ушакова Н. М. Економіка торговельного підприємства. — К.: Хрещатик, 1999.
10. Митрофанов Г. В. Методика аналізу фінансового стану підприємства. — К.: Вид-во КТЕІ, 1993.
11. Нікбахт Е., Гропеллі А. Фінанси. — К.: Вік, Глобус, 1992.
12. Рябушкин В. Т. Основы статистики финансов. — М.: Финстатин-форм, 1997.
13. Статистика / С. С. Герасименко та ін. — К.: Вид-во КНЕУ, 1998.
14. Статистика: Підручник / С. С. Герасименко, А. В. Головач, М. Єріна та ін. — 2-ге вид., перероб. і доп. — К.: Вид-во КНЕУ, 2000.
15. Статистика банківської діяльності: Навч. посіб. / А. В. Головач, B. Б. Захожай, К. С. Базилевич. — К.: МАУП, 1999.
16. Статистика кредиту: Конспект лекцій з курсу "Фінансова статиcтика" / Укл. О. Г. Демешко. — К.: Вид-во КДТЕУ, 1998.
17. Статистика финансов: Учебник / Под ред. проф. В. Н. Салина. —М.: Финансы и статистика, 2000
18. Теслюк И. Е. Статистика финансов. — Минск: Вышэйш. шк., 1994.
19. Ткаченко Н. М. Бухгалтерский финансовый учет на предприятиях Украины: Учебник для студ. высш. учеб. завед. экон. спец. — 7-е изд., доп. и перераб. — К.: А. С. К., 2001.
Інші реферати на тему «Фінанси»:
Основні тенденції формування видаткової частини місцевих бюджетів
Концептуальні та організаційні основи фінансової безпеки в умовах глобалізації. Економічна безпека
Санаційна спроможність підприємства
Фактори, які впливають на організацію фінансів підприємств
Шляхи становлення національної валютно-фінансової системи України. Формування системи валютного регулювання і валютного контролю
