Сторінка
2
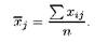
Як зазначалося, інвестиційну привабливість оцінюють на основі певної сукупності показників. За допомогою цих показників здійснюють інтегральну оцінку і визначають відповідний рейтинг. Як один з методів для цього використовують метод багатовимірної середньої. Алгоритм розрахунку такий. Відбирають сукупність об'єктів спостереження (підприємств, регіонів тощо) для встановлення рейтингу інвестиційної привабливості. Формують відповідну систему показників(xij), на основі яких здійснюють інтегральну оцінку (прибутковості, ліквідності тощо). Значення цих показників обчислюють за кожним об'єктом і в середньому за їх сукупністю:
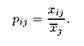
Щоб елімінувати масштаб цих показників, обчислюють узагальнюючі показники у вигляді відношення показників окремих об’єктів до середнього їх значення за сукупністю об'єктів:
Розраховують середнє значення:
де k — кількість показників, які застосовують у розрахунках.
Ранжований ряд pi і є, по суті, відповідним рейтингом об'єктів за інвестиційною привабливістю.
Такий підхід має певні недоліки:
1. Усі показники мають бути прямими або зворотними.
2. Обґрунтованість розрахунків рейтингу інвестиційної привабливості підвищиться, якщо надати окремим показникам диференційованої ваги згідно з їх значущістю. Цю вагу можна визначити за допомогою експертних оцінок. Проте останні здебільшого суб’єктивними і тому ненадійними. Більшої об'єктивності можна досягти, встановивши взаємозв'язок результатів діяльності окремих об’єктів і факторів, які їх визначають. Для цього доцільно скористатися методами кореляційно-регресійного аналізу, за допомогою яких вимірюють зв'язок між; результативною ознакою y, що характеризує ефект діяльності, наприклад, за регіонами — обсяг валової доданої вартості або її рівень на душу населення, і факторними ознаками х1, х2, . , хп, на основі яких оцінюють рейтинг привабливості. При цьому загальний ефект має бути розподілений між окремими факторами.
Для цього можуть бути використані багатофакторні лінійні рівняння:
у = бо + Ьіхі + Ь2х2 + . + Ьпхп.
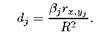
З урахуванням мультиколінеарності зв'язку між показниками оцінки у ваги окремих факторів у формуванні результативної ознаки, наприклад рівня ВДВ, можна визначити на основі показників множинної детермінації R2, парної кореляції гц та стандартизованих коефіцієнтів регресії — /3-коефіцієнтів за формулою
За іншою методикою рейтинг інвестиційної привабливостірегіонів України визначається інститутом реформ.
Згідно з цією методикою рейтинг регіонів визначають на основі показників, які, за оцінками інвесторів, є найважливішими при прийнятті рішення про місце й обсяги інвестицій. У результаті аналізу було визначено п'ять укрупнених груп даних, які стали базовими для розрахунку загального рейтингу:
• економічний розвиток регіону;
• розвиток ринкової інфраструктури;
• фінансова інфраструктура;
• розвиток людських ресурсів;
• діяльність органів місцевої влади у сфері приватного підприємництва.
Виходячи з цілей міжрегіональних порівнянь і особливостей варіації показників соціально-економічного розвитку регіонів України перевагу віддають використанню розмаху варіації (різниця максимального та мінімального показників сукупності) для переходу до неперервного ряду відносних величин.
Рейтинг інвестиційної привабливості розраховують у певній послідовності.
1. Розраховують стандартизовані значення (бали) кожного з показників за регіонами.
Для цього визначають відхилення показника від середнього значення:
zij = xij — xij — для позитивних факторів інвестиційного клімату,
або
zij = xij — xij — для негативних факторів інвестиційного клімату(наприклад, рівень злочинності, заборгованості між підприємствамитощо), де xij — i-й показник j-то регіону; xij — середнє значенняпоказника.
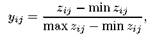
Отже,
де min(max)zij — мінімальне (максимальне) значення відхилення, i = const; yij — стандартизоване значення (бал) показника xij.
2. Розраховують частковий рейтинг регіону за групами показників за формулою середньої арифметичної стандартизованих значень.
3. Розраховують загальний рейтинговий бал j-гo регіону як середньозважену часткових рейтингів за групами показників:
де Rkj — частковий рейтинг j-то регіону за k-ю групою показників;fk — вага k-ї групи показників; при цьому fk Є [0,1], Y1 fk = 1-
Вагу кожної з груп для цієї формули визначають на основі результатів експертного опитування менеджерів компаній, що мають представництва в усіх областях України.
Ранжований ряд цих показників за окремими областями і є основою визначення рейтингу, тобто присвоєння певного класу, номера, категорії як результату оцінки кількісних та якісних характеристик інвестиційної привабливості регіонів (галузей, підприємств, банків тощо) в їх ранжованому ряду.
Для оцінки привабливості підприємств використовують різні системи показників. Одна з них розроблена відповідно до вимог міжнародного меморандуму й ASC (International Accounting Standarts Committee) і складається з певних груп показників оцінки:
• майнового стану інвестиційного об'єкта (частка активної частини основних засобів, коефіцієнти зношення, оновлення і коефіцієнт вибуття основних засобів);
• фінансової стабільності (платоспроможності) інвестиційного об'єкта і надлишку або нестачі джерел формування запасів та витрат, власних оборотних коштів (робочий капітал, коефіцієнти незалежності, фінансування, фінансової стабільності, фінансового лівериджу);
Інші реферати на тему «Фінанси»:
Державний кредит та державний борг: економічний зміст, аналіз формування та покриття, напрями розв’язання боргової проблеми в Україні
Аналіз формування надходження доходів та видатків зведеного бюджету
Доарбітражне врегулювання господарських спорів. Арбітражне врегулювання господарських спорів
Відповідальність кредитної спілки
Валютно – курсова політика України: правові засади, валютний контроль та проблеми валютних відносин
